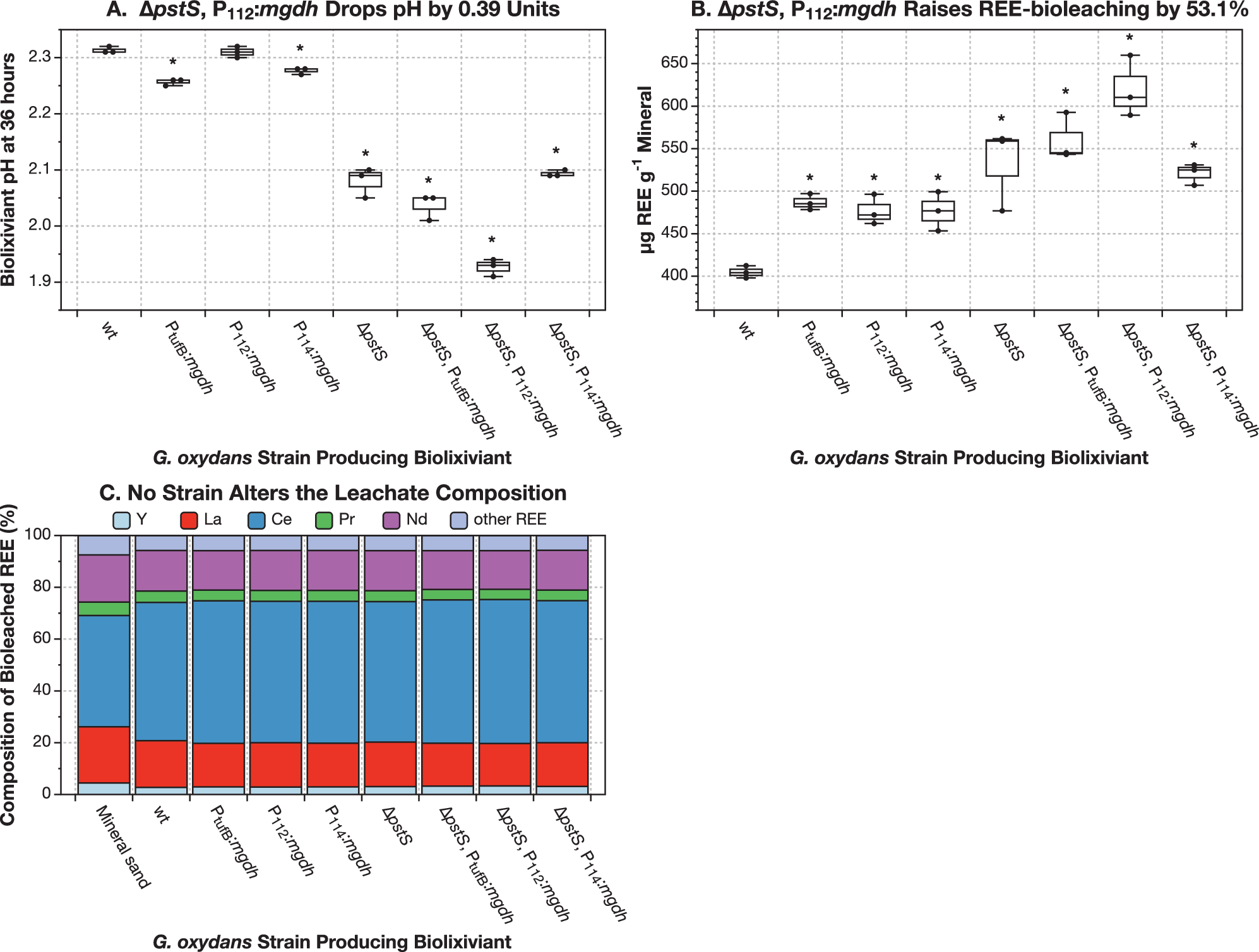
Fig. 2: Over-expression of mgdh lowers biolixiviant pH by up to 0.39 units and increases REE-bioleaching from allanite ore by up to 53.1% at 10% pulp density.

A Biolixiviant pH for all tested strains 36 h after glucose introduction. B Total REE extracted per gram of allanite sand for all strains. C Total contribution of the top five REE to the total REE extracted. A pulp density of 10% was used in all bioleaching experiments (panels B and C; i.e., 10 g of allanite in 100 mL of biolixiviant). All tests were run in triplicate and are representative of multiple experiments. Stars denote significant difference compared with wild type (wt) G. oxydans by a two-tailed, homoscedastic t-test, p < 0.05. All data for this figure, including p-values, can be found in Supplementary Data S245.