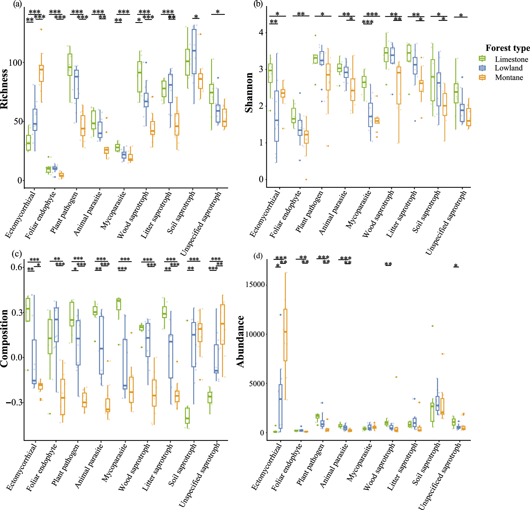
Fig. 2: Variation in soil fungal diversity of different functional guilds under three forest types.
From: Cross-scale drivers of soil fungal diversity in fragmented forests of southwestern China

Variation in the richness (a), Shannon diversity (b), community composition (c), and abundance (d) of each fungal functional guild across limestone, lowland, and montane forests (n = 30 biologically independent samples). The significance between forest types for each fungal functional guild was tested by p-value with TukeyHSD test, as *** p ≤ 0.001; ** p ≤ 0.01; * p ≤ 0.05.