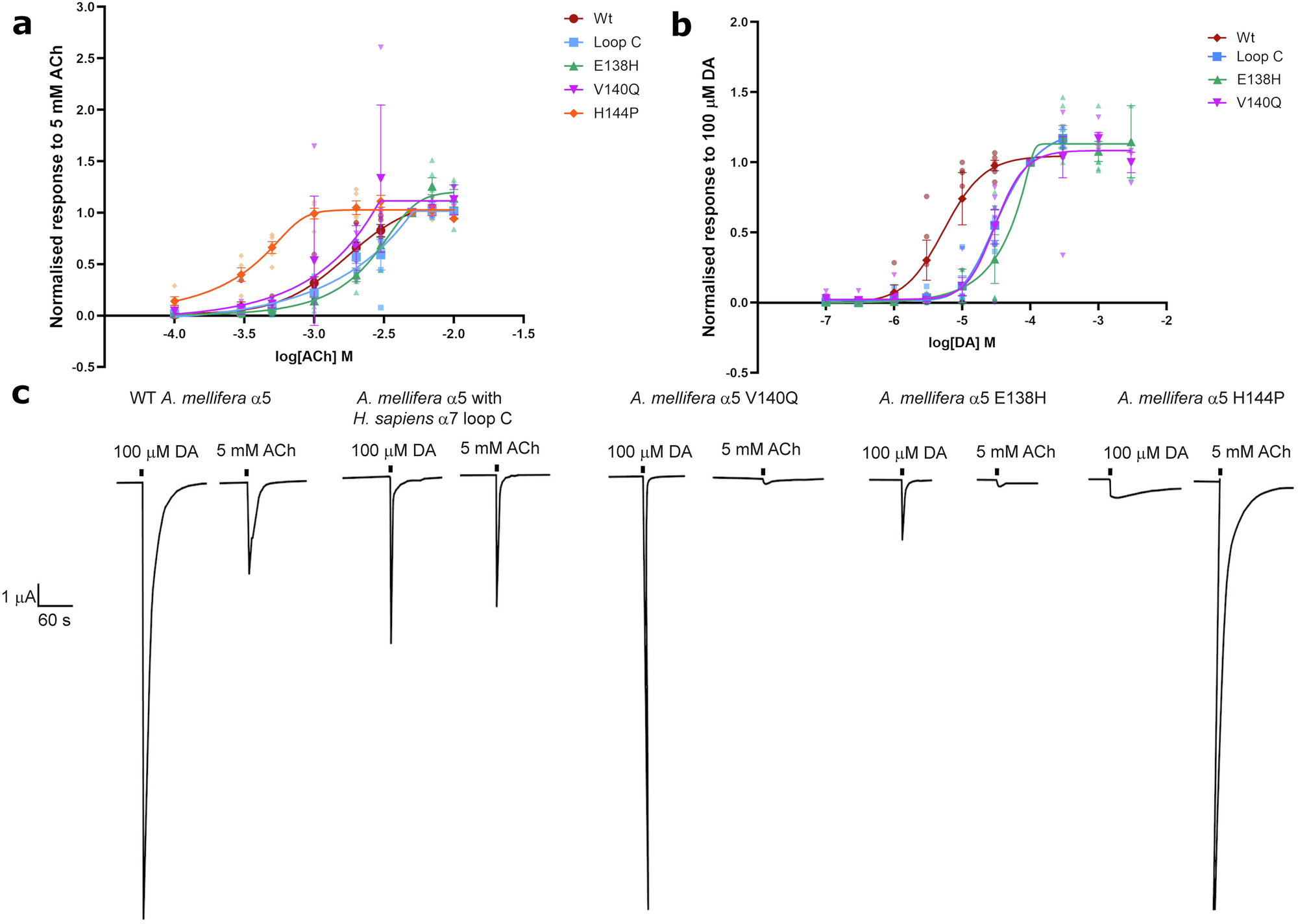
Fig. 6: Responses to dopamine (DA) and acetylcholine (ACh) in X. laevis oocytes expressing wild-type or mutant A. mellifera α5 nAChR subunits.

a Acetylcholine concentration response curves. Data are normalised to 5 mM acetylcholine. b dopamine response curves. Data are normalised to 100 µM dopamine. c Representative current traces showing responses to maximal concentrations, 100 µM dopamine and 5 mM acetylcholine, on the same oocytes. Concentration response curve data are from 5 to 6 different eggs from 3 to 5 batches of frogs. Error bars represent SEM. Scale bars represent time in seconds (X axis) and current μA (Y axis).