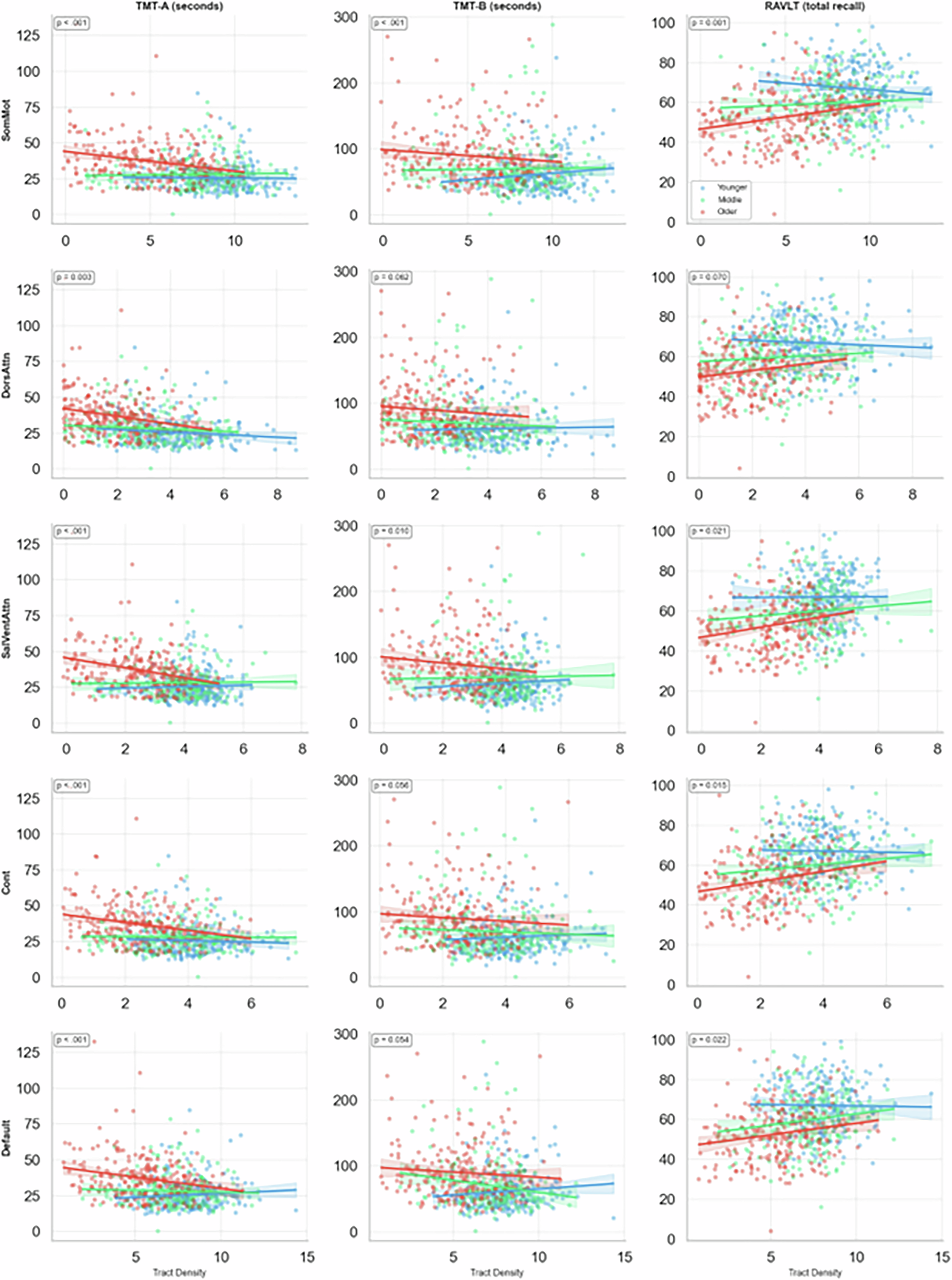
Fig. 2: Age-dependent moderation of brain-behavior relationships across five functional networks.

Scatter plots show associations between corpus callosum tract density and cognitive performance for three behavioral measures (columns): RAVLT total recall (left), TMT-A (center), and TMT-B (right) across five networks (rows): Somatomotor, Dorsal Attention, Salience/Ventral Attention, Control, and Default. Participants were stratified into tertiles by age: Younger (36.0–51.75 years, blue, N = 239), Middle (51.75–67.83 years, green, N = 238), and Older (67.92–100.0 years, red, – = 241). Each point represents an individual participant. Solid lines show linear regression fits with shaded 95% confidence intervals for each age group. P-values (inset) indicate permutation-based significance of the Tract Density × Age interaction term. Across all cognitive domains, associations between tract density and performance are minimal in younger adults but strengthen substantially in older adults, demonstrating that callosal integrity becomes increasingly critical for cognitive function with advancing age. Negative correlations for Trail Making Tests reflect faster performance (shorter completion times) associated with higher tract density.