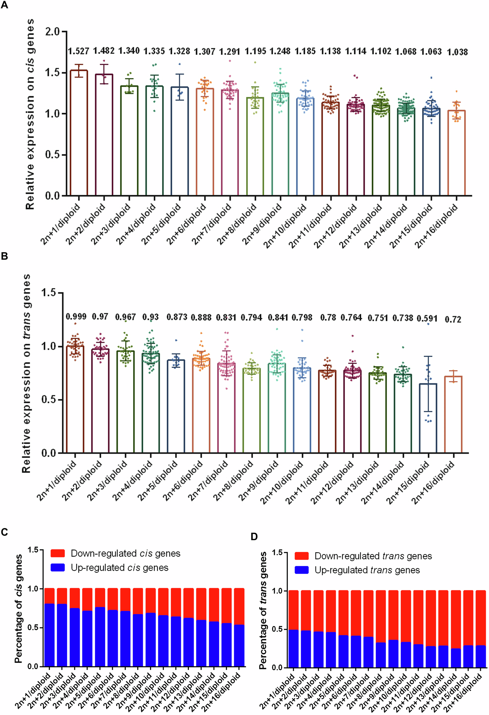
Fig. 6: The greater inverse effect on cis and trans genes in aneuploid line with extra 1 to 16 chromosomes.

A The relative expression values on cis dosage effect in aneuploid line with increasing chromosomal dosage. B The relative expression values on trans dosage effect in aneuploid line with increasing chromosomal dosage. For each group contain different chromosomal dosages, the number of samples corresponds to the number of RNA-seq samples available for that group, with details provided in Tables S4 and S5. The error bars represent mean ± SD. C The percentage of up and down-regulated cis genes in aneuploid line with increasing chromosomal dosage. D The percentage of up and down-regulated trans genes in aneuploid line with increasing chromosomal dosage.