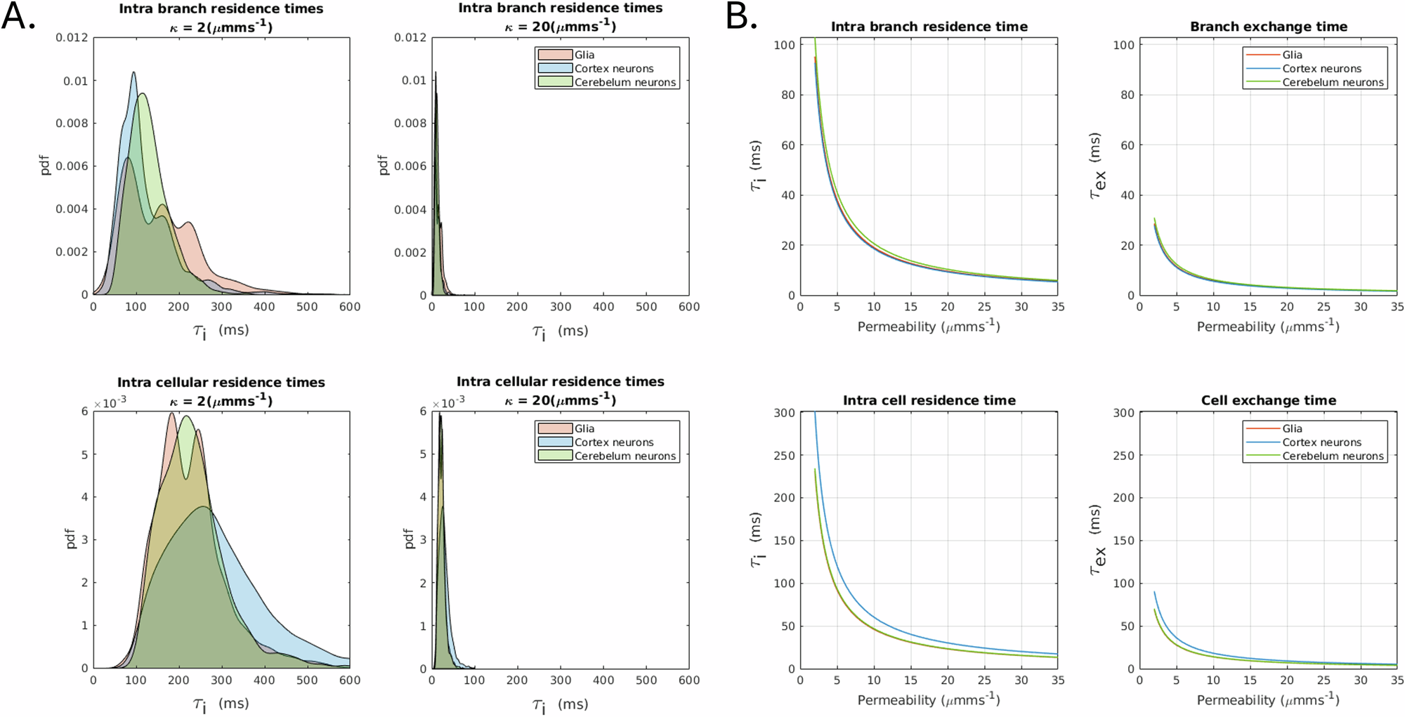
Fig. 7: A visualisation of residence times distributions and plots of exchange times against permeability.

A Distributions of intra-cellular and intra-branch residence times (grouped by general cell types) for two membrane permeabilities (low and high). Residence time distributions were derived from surface-to-volume ratio distributions using permeability values of 2 and 20 μm/s to represent low and high permeability, respectively. B Mean residence and exchange times as a function of membrane permeability. The mean values were calculated from the distributions of exchange times obtained for different surface-to-volume ratios and membrane permeabilities. See Section 2.2 for details.