Fig. 3
From: Spatiotemporal control of cargo delivery performed by programmable self-propelled Janus droplets

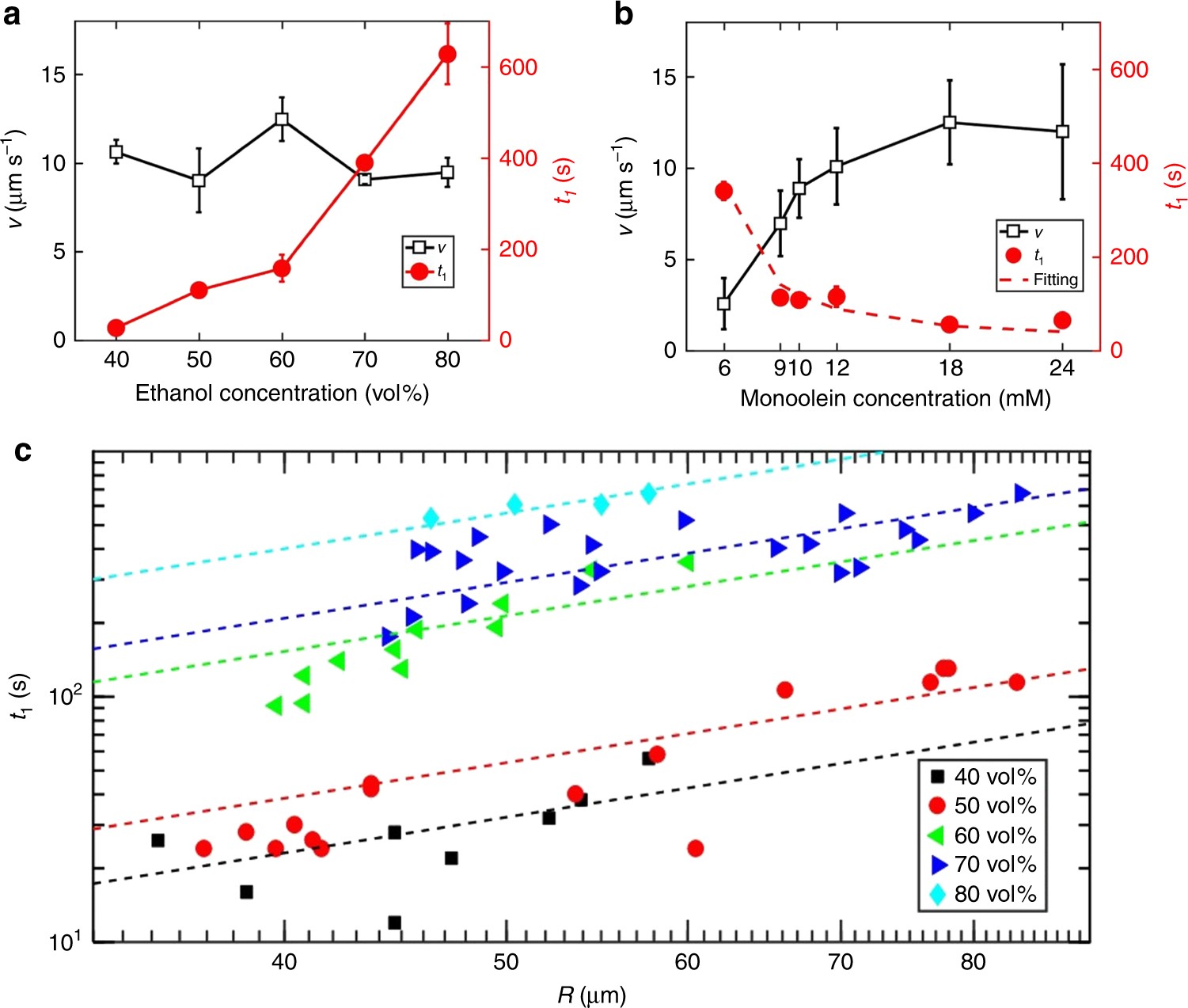
Average droplet velocity and duration t1 in stage 1. a As a function of ethanol concentration in the droplets at a fixed monoolein concentration of 10 mM in the surrounding squalane phase. b As a function of monoolein concentration in the surrounding squalane phase at a fixed ethanol concentration of 50 vol% in the droplet phase. The dashed line is the fit of Eq. (1). c Duration t1 as function of droplet radius R for various initial ethanol concentration. The dashed lines indicate fits of Eq. (1) to the data with ∝R3/2, where c* is a free fitting parameter. Each point represents the mean value of several measurements while the corresponding error bar is the standard deviation