Fig. 4
From: Developing design criteria for organic solar cells using well-absorbing non-fullerene acceptors

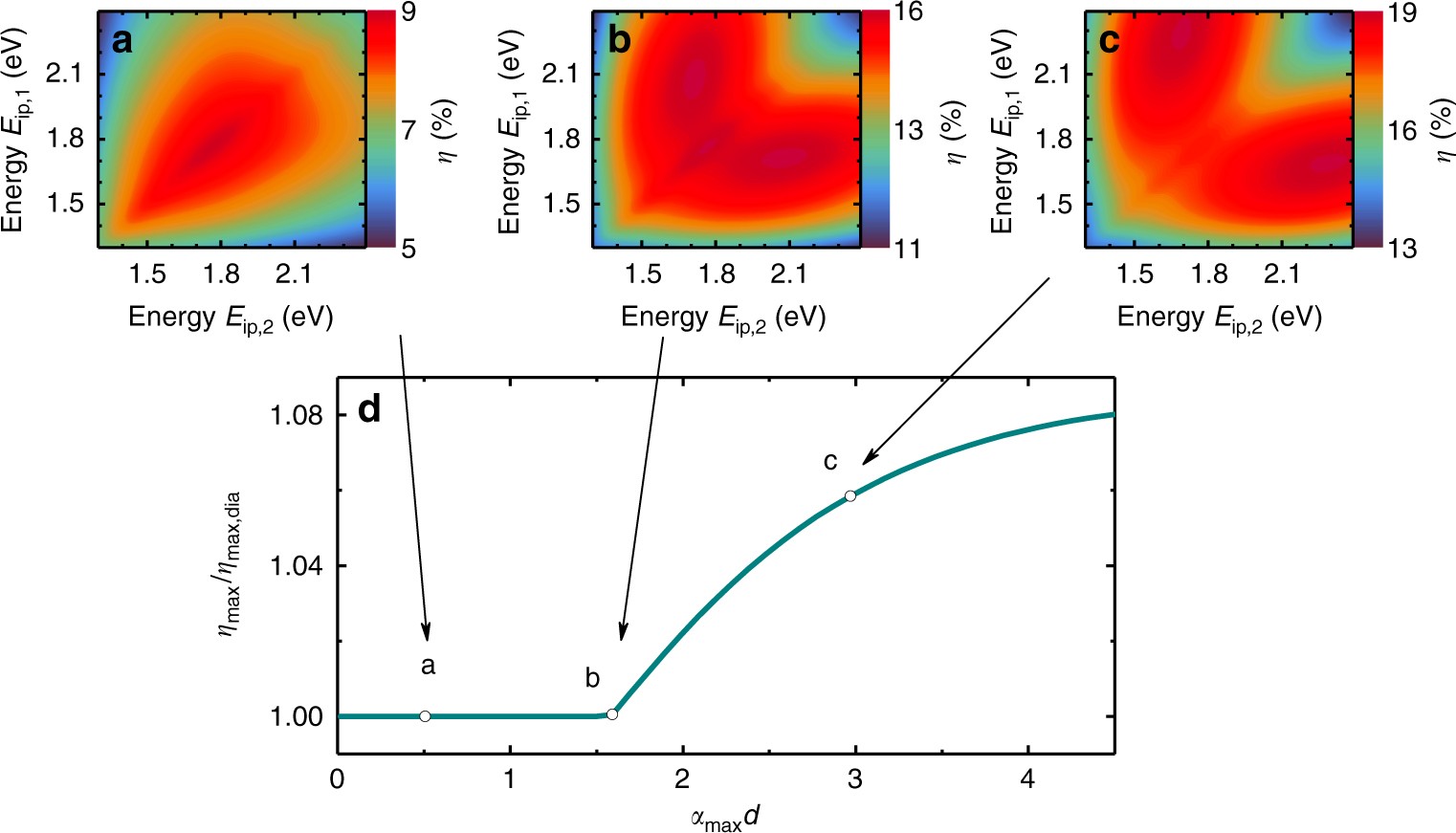
Simulations of an organic solar cell with parameterized absorption coefficients and ideal collection. (a–c) Examples of the simulated efficiency η of an organic solar cell for three different value of the key parameter αmaxd as a function of the inflection-point energies Eip,1 and Eip,2 of the absorption coefficients α1(E) and α2(E) describing the donor and acceptor material in the blend. For small values of αmaxd the highest efficiency results for equal energies of Eip,1 and Eip,2, located on the diagonal of the contour plot, which means that a congruent absorption behavior of donor and acceptor is more efficient in comparison to a complementary one. The opposite applies for large values of αmaxd, as shown in (c), since the highest efficiencies occur for off-diagonal, that is, different values of Eip,1 and Eip,2. (d) Ratio of the absolute efficiency maximum ηmax and the maximum efficiency ηmax,dia on the main diagonal as a function of αmaxd. The course highlights the transition from the absolute maximum efficiency for a congruent arrangement of α1(E) and α2(E) toward the maximum for complementary absorption behavior