Fig. 4
From: Stochastic dynamics and pattern formation of geometrically confined skyrmions

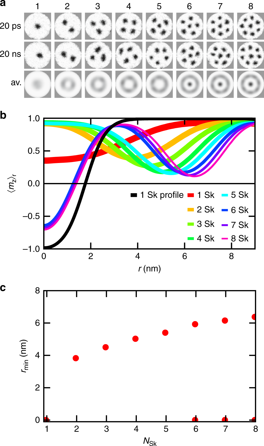
Diffusive skyrmion motion on a circular island. a z component of the magnetization (white +z, black −z) for an ascending total skyrmion number. First row shows the configuration after 20 ps, the second row after 20 ns of elapsed time, and the third row represents the time average for the total simulation time over 1000 snapshots. b Time-averaged signal as a function of the distance from the center of the disk for different skyrmion numbers, averaged over the angular coordinate. Black line shows the static profile of a central single skyrmion. c Radii rmin corresponding to the local minima of the time-averaged signal in b, in dependence on the skyrmion number. Disk system (21 × 21 × 0.4 nm3), T = 15 K, B = 1.5 T. The saturation magnetization is locally set to zero in the dark gray areas