Fig. 5
From: Signatures of structural differences in Pt–P- and Pd–P-based bulk glass-forming liquids

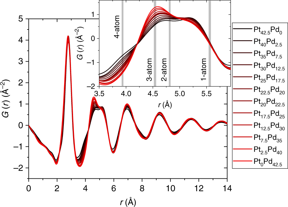
Compositional variation of the reduced pair distribution function G(r) of Pt/Pd–P-based glasses at 298 K. The inset magnifies the second peak corresponding to the second nearest neighbor distances. The gray areas in the inset mark the most probable second nearest neighbor distances if adjacent clusters share one, two, three, or four atoms calculated from the first peak positions