Fig. 2
From: Artificial two-dimensional polar metal by charge transfer to a ferroelectric insulator

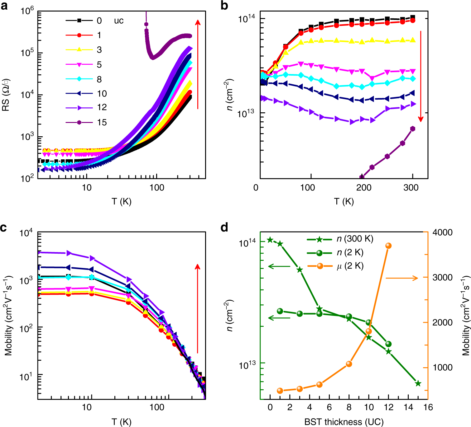
Electronic transport characterization of the two-dimensional electron gas in LaAlO3/Ba0.2Sr0.8TiO3/SrTiO3 heterostructure. a–c Temperature-dependent sheet resistance Rs (a), carrier density n (b), and mobility μ (c) for samples with fixed LaAlO3 thickness (15 unit cells) and different unit cells (uc) of Ba0.2Sr0.8TiO3 (BST) on SrTiO3 substrates. Different colors represent different BST thicknesses. The red arrows indicate increasing BST thickness. d A summary of the carrier density (at 300 and 2 K) and mobility (at 2 K) dependence on BST thickness from b and c