Fig. 3
From: Emulating optical cycling centers in polyatomic molecules

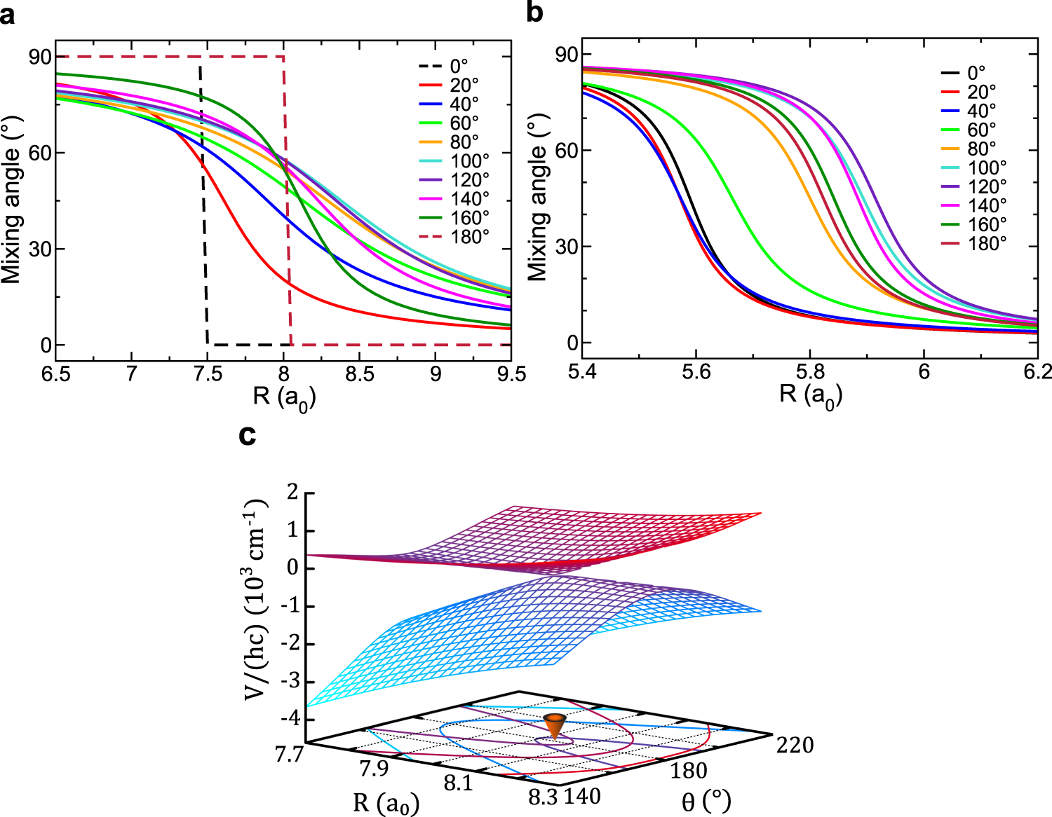
Characterization of mixing angles and conical intersections between the \({1}\, {}^{2} {A}^{{\prime} }\) and \({4}\, {}^{2} {A}^{{\prime} }\) states. a Mixing angles \(\vartheta (R,\theta)\) for the diabatic \({1}\, {}^{2} {A}^{{\prime} }\) and \({4}\, {}^{2} {A}^{{\prime} }\) states as functions of separation \(R\) for ten different values of angle \(\theta\) determined from our quantum-mechanical calculations. Conical intersections are apparent as the \(-9{0}^{\circ }\) jump in mixing angle for curves with \(\theta ={0}^{\circ }\) and \(18{0}^{\circ }\). b Mixing angles similarly determined from our calculations for the \({1}\, {}^{2} {A}^{{\prime\prime} }\) and \({2}\, {}^{2} {A}^{{\prime\prime} }\) diabatic states. No conical intersection is present. c Adiabatic \({1}\, {}^{2} {A}^{{\prime} }\) (blue surface) and \({4}\, {}^{2} {A}^{{\prime} }\) (red surface) potential energy surfaces \(V\) as functions of separation \(R\) and and angle \(\theta\) near the conical intersection at \(R\approx 8{a}_{0}\) and \(\theta =18{0}^{\circ }\).