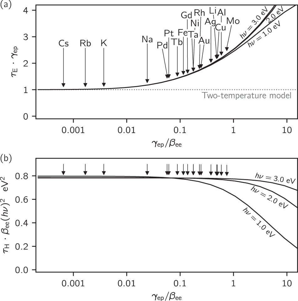
Fig. 3: Dependence of τH and τE on electron-electron and electron-phonon interaction strengths, βee and γep.

To illustrate the universal dependence of τE and τH on the ratio of interaction strengths γep/βee, we report τE and τH normalized by the time-scales \(\gamma _{{\mathrm{ep}}}^{ - 1}\) and \(\beta _{{\mathrm{ee}}}^{ - 1}\), respectively. τH is the time-scale that high energy electronic states remain occupied. τE is the time-scale for energy transfer between the electronic subsystem and lattice. hv is the energy of absorbed photons. Values of γep/βee for various metals are indicated with vertical arrows. a For realistic values of e–e vs. e–p interaction strengths, τE depends on both γep and βee. In the limit of \(\gamma _{{\mathrm{ep}}}/\beta _{{\mathrm{ee}}} \,<\, 0.05\), τE converges to the two-temperature value and is independent of βee. b For photoexcitation with visible light (2 and 3 eV) and realistic values of e–e versus e–p interaction strengths, τH depends only on e–e interaction strengths.