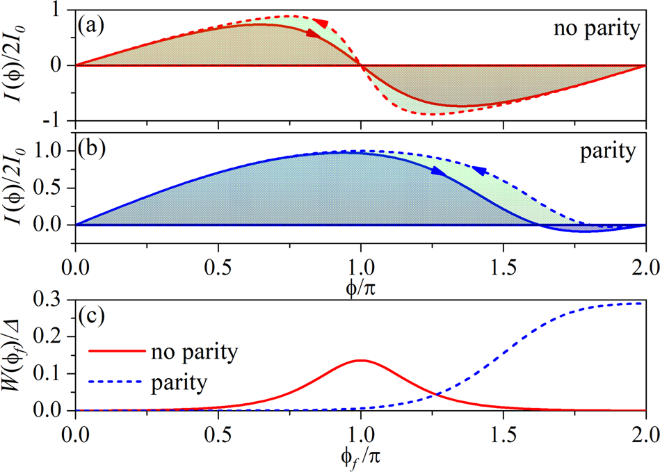
Fig. 3: Current–phase relation and work.

a, b Isothermal current–phase relation at kBT = 0.1Δ (dashed lines) and kBT = 0.2Δ (solid lines) a without and b with parity constraints. Here the shaded areas between each curve and the ϕ axis correspond to the work performed during an isothermal change ϕ = 0 → 2π. The areas above and below the ϕ axis compensate each other in a for an isothermal change ϕ = 0 → 2π and no work is released. In a, b, the arrows indicate the direction of the changes in ϕ for a Josephson–Stirling engine with kBTe = 0.2Δ, kBTb = 0.1Δ, and ϕf = 2π. The total work W performed by these engines is represented by the shaded green areas between the dashed and solid curves. c Total work W released by a Josephson–Stirling engine with kBTe = 0.2Δ and kBTb = 0.1Δ as a function of the maximal phase change ϕf during the cycle. In all panels, ES = 0.165Δ.