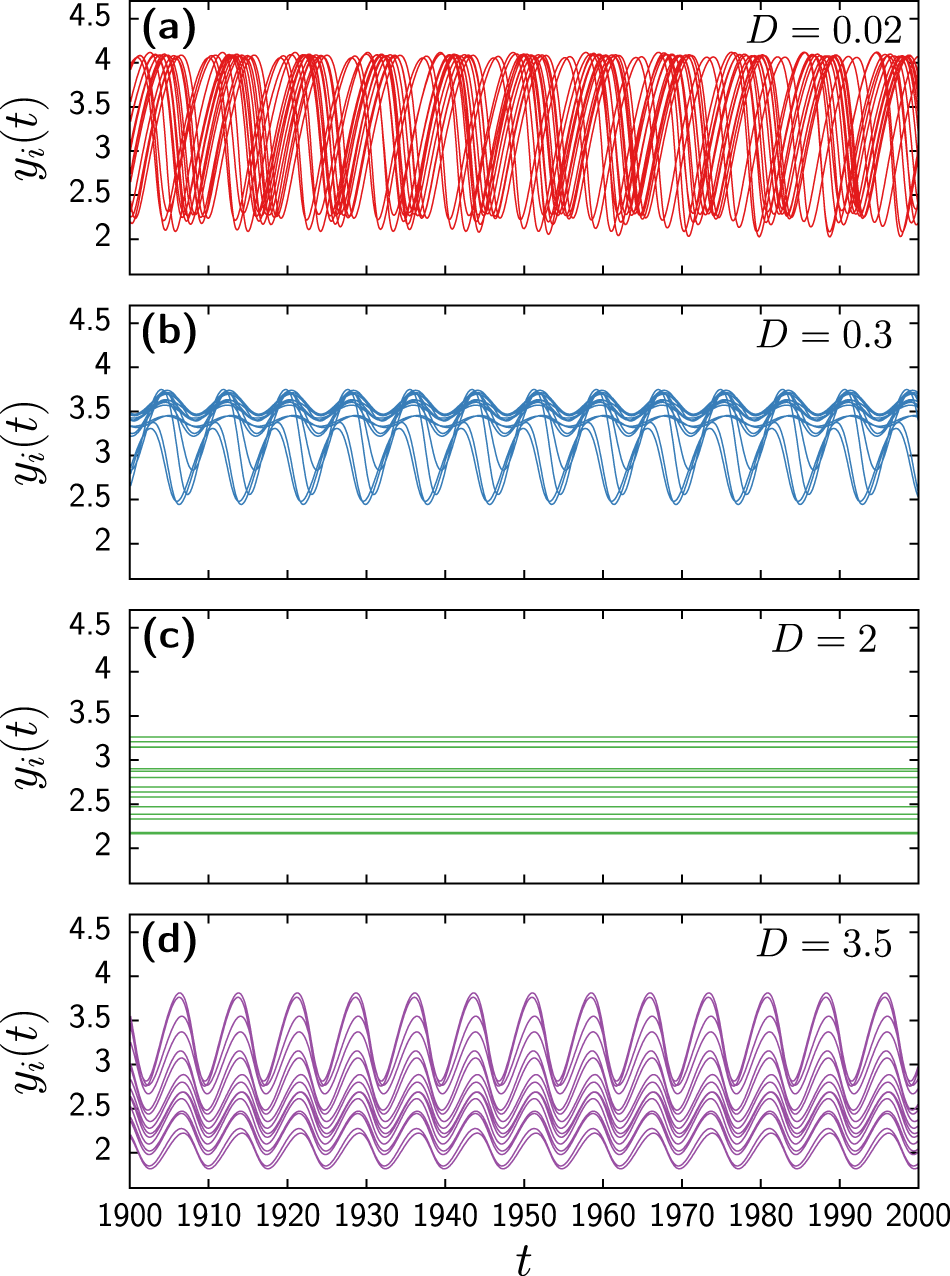
Fig. 2: Time series of individual nodes of the Brusselator system with random-walk diffusion.
From: Amplitude death and restoration in networks of oscillators with random-walk diffusion

Each line indicates the time evolution of the y variable of node i, where i corresponds to 15 randomly chosen nodes (same nodes for each panel). Results obtained from the numerical integration of the Brusselator model Eq. (10) with random-walk diffusion Eq. (2) on an Erdös-Rényi networks of size N = 1000 and average degree 〈k〉 = 20. System parameters for the Brusselator reaction terms are a = 0.5, b = 1.7. The values of diffusion coefficient are a D = 0.02, b D = 0.3, c D = 2, and d D = 3.5.