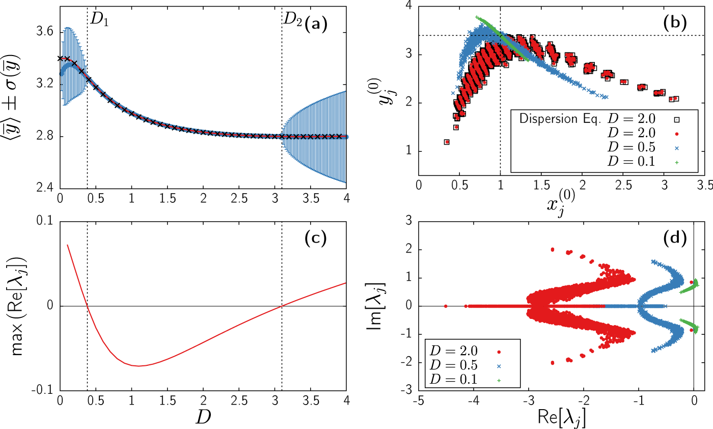
Fig. 3: Results of simulations and numerical analysis for the Brusselator model in an Erdös-Rényi (ER) network.
From: Amplitude death and restoration in networks of oscillators with random-walk diffusion

System parameters for the reactive terms are a = 0.5 and b = 1.7. Network topology corresponding to a ER with N = 1000 nodes and average degree \(\left\langle k\right\rangle =20\). a Blue circles indicate the time-averaged mean-field corresponding to the y variable of each node, \(\langle \overline{y}\rangle\), obtained from numerical simulations for different values of diffusion D. Error bars indicate the temporal standard deviation of the mean-field, \(\sigma (\overline{y})\) (definitions in the text). Red continuous line shows the mean-field corresponding to the heterogeneous fixed point obtained solving numerically the system of equations (4). Black crosses correspond to the mean-field obtained by integrating the peturvative equation (5). Vertical black dashed lines indicate the bifurcation points derived from the stability analysis. b Coordinates of the heterogeneous fixed point of the system \(({x}_{j}^{(0)},{y}_{j}^{(0)})\), j = 1, …, N, in the phase space. Green plusses, blue crosses, and red points correspond to numerical solutions of system (4) for different diffusion values D. Black squares correspond to the solution obtained by integrating Eq. (5) up to D = 2. Each symbol corresponds to a different network node j = 1, …, N. The crossing of the two black dashed lines indicate the equilibria of the uncoupled system, (x(0), y(0)) = (1, b/a). c Largest eigenvalue’s real part for different values of D. Vertical black dashed lines indicate the bifurcation points where the largest eigenvalue crosses de x axis. d Eigenvalue spectra in the complex plane for different values of D (same symbols as in b).