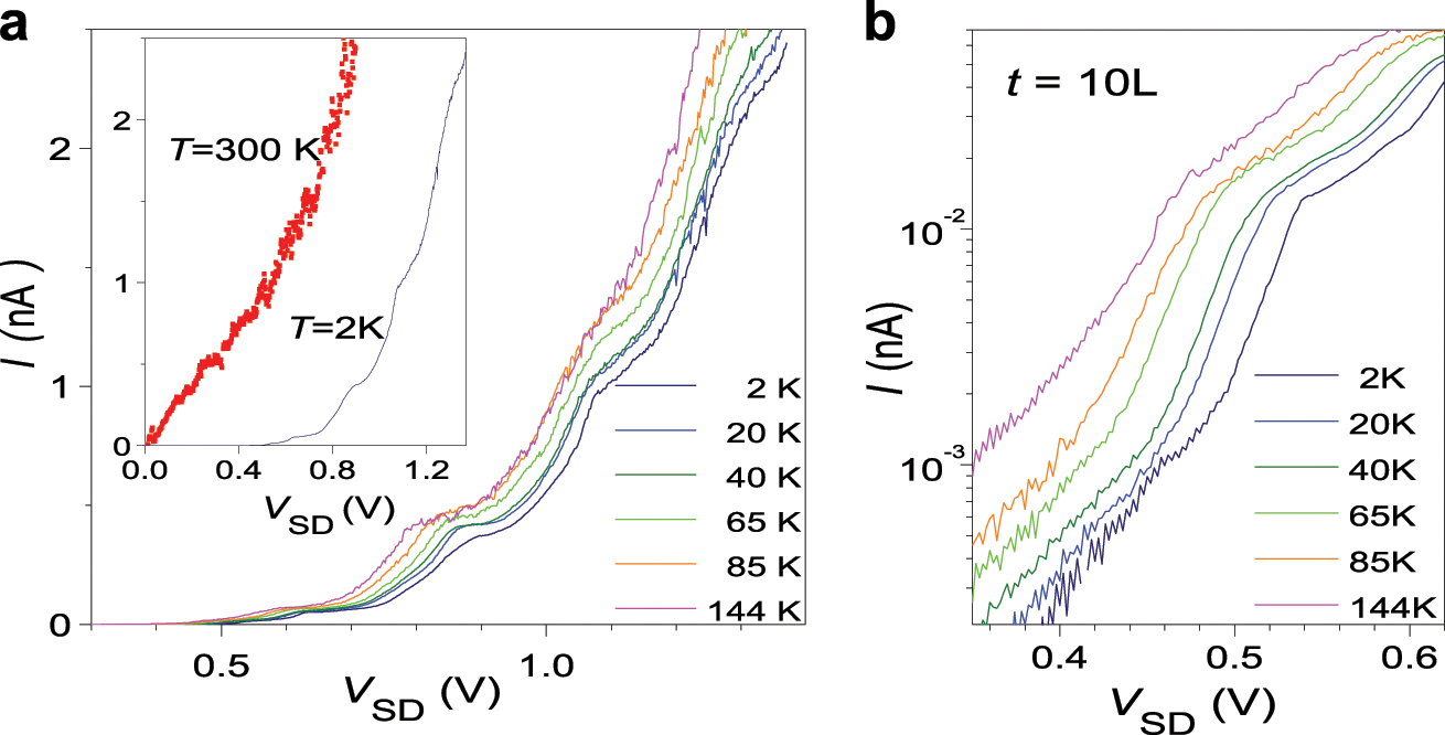
Fig. 2: Temperature dependence of the transport characteristics.
From: Resonant tunnelling into the two-dimensional subbands of InSe layers

a Current–voltage characteristics, I−VSD, of a device with ten-layers InSe at a gate voltage Vg = 0 V and at different temperatures T. The inset compares the I−VSD curves at T = 300 K and 2 K. b I−VSD curves from part (a) in the low voltage region.