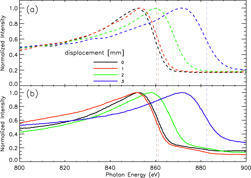
Fig. 2: Simulation and measurement of the third harmonic of the UE56 for different horizontal displacement of the electron beam.
From: Flipping the helicity of X-rays from an undulator at unprecedented speed

a Simulation of the undulator harmonic (normalized to its maximum) from the UE56/2 at shift 24 mm in vertical elliptical mode for different horizontal positions of the electron bunch in the BESSY II storage ring. The simulated degree of circular polarization defined as Pc = |S3/S0|, where S3 and S0 are the Stokes parameters, in the maxima is 60%. b Measurement of the harmonics for different horizontal displacements of the electron beam in the relevant BESSY II high beta straight section from 0 (on-axis) to 3 mm off-axis. The regular beam was found to be slightly misaligned to negative displacements with respect to the axis in a as indicated by the red and black dashed curve compared with the expectations b.