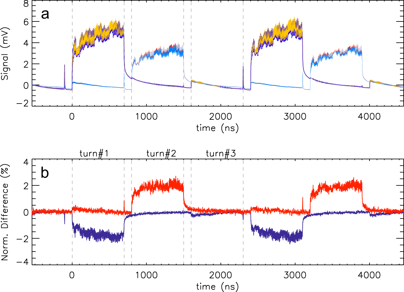
Fig. 5: Temporal waveforms of Intensity and asymmetry from the first three turns of all bunces in the ring.
From: Flipping the helicity of X-rays from an undulator at unprecedented speed

a Oscilloscope traces from the avalanche photo diode (APD) detector measured on island 1 (orange, blue) and island 2 for an out-of-plane magnetic field strength of B = −0.5 to 0.5 T (pale blue and red), respectively. b The small intensity differences in a become evident in the normalized difference signal (magnetic contrast), which indicates the helicity flip between first (blue) and first turn (red). There is no dichroic signal at the third turn since island 3 is not accepted by the beamline. It is noteworthy that a single bunch filled 100 ns before the macro bunch likewise shows a turn-by-turn helicity flip of its X-ray emission, useful for pump–probe applications4,5.