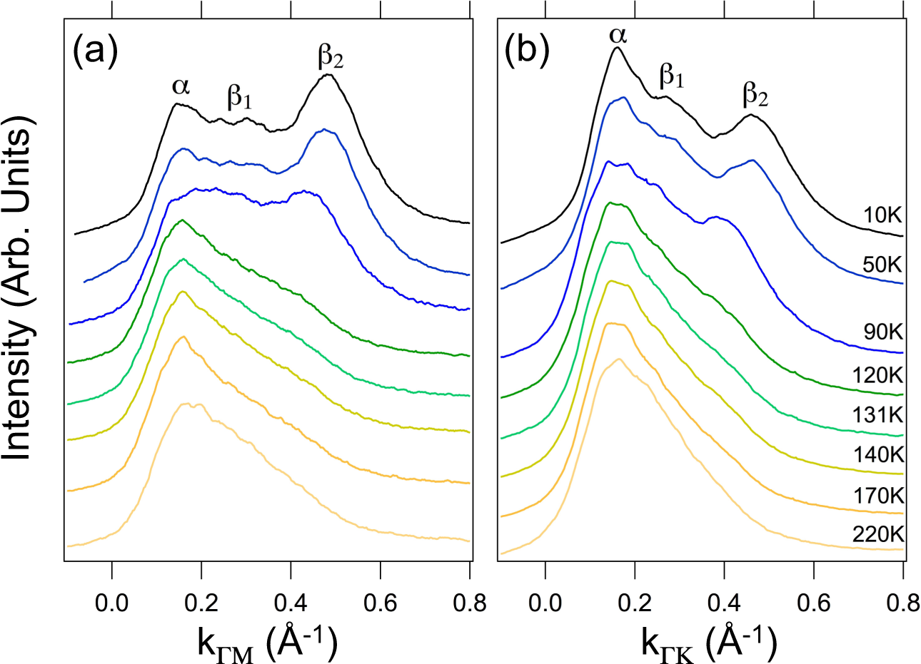
Fig. 3: Temperature dependence of band crossing points.
From: The nature of ferromagnetism in the chiral helimagnet Cr1/3NbS2

Momentum distribution curves extracted at the Fermi level from spectra measured along a ΓM and b ΓK using photons of energy hν = 48eV. Note the emergence of a split β1,2 band for temperatures below 120 K, and a loss of spectral weight along both high-symmetry axes for temperatures below the helimagnetic transition temperature.