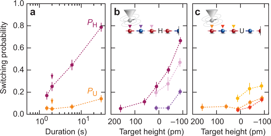
Fig. 3: Switching the input by tip exchange field.
From: Remote detection and recording of atomic-scale spin dynamics

a Switching probabilities PH and PU as a function of duration at a target tip height of 10 pm, using a bias voltage of 1 mV. Arrows indicate data points that also appear in b and c. b PH for atoms A, B and C, for a duration of 2 s. Note how atom B is less sensitive to the tip field than atoms A and C. c Same as b but for PU. Data in all three subpanels is taken at 1.5 K, 1 T. The error bars show 1.5σ for a binomial distribution with μ at the recorded rate. Dashed lines are guides to the eye.