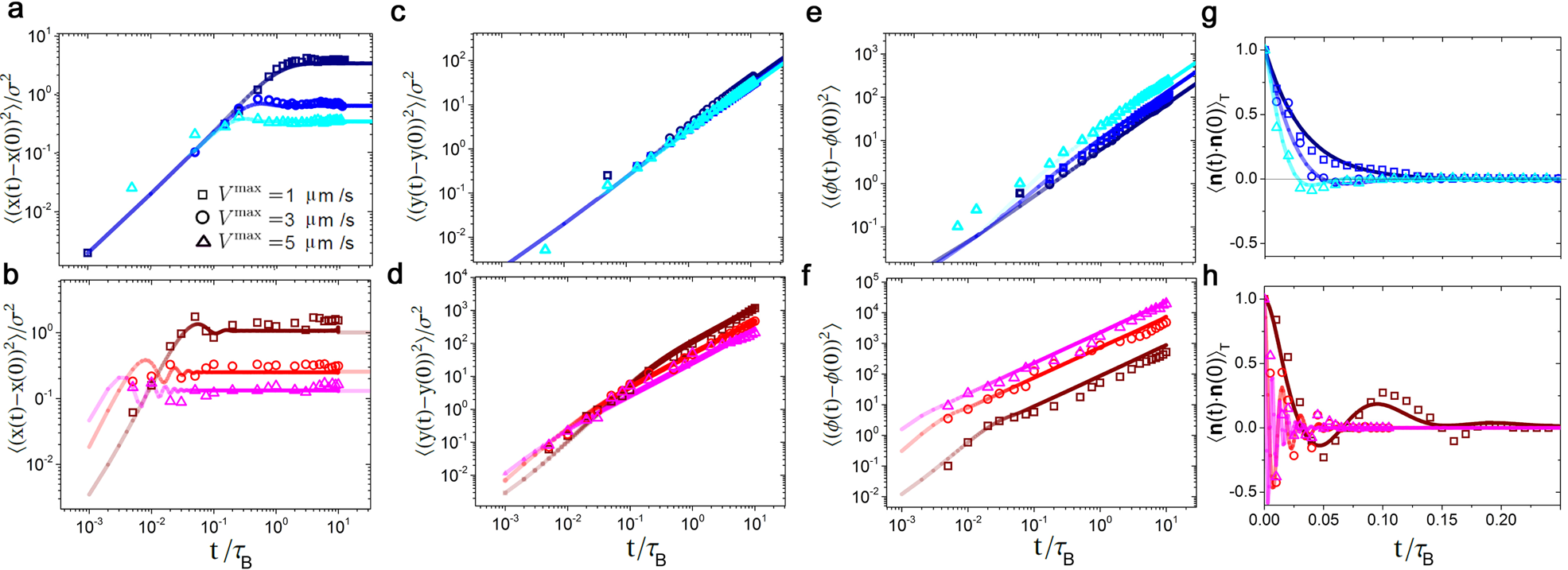
Fig. 4: Dynamical response of active particles.

The data for a cooling and a heating trap are shown in a, c, e, g and b, d, f, h, respectively. Symbols and solid lines show experimental data averaged over five repetitions for each curve and numerical simulations, respectively. In each plot, different symbols and the curve of the corresponding color correspond to light profiles with different laser intensities, characterized by the maximal velocity Vmax achieved by active particles within the corresponding profile. Panels show the mean-square displacement in units of the particle size (σ) (a, b) along the x component, (c, d) and the y component, while e, f along the angular component (ϕ), and g, h the orientational autocorrelation function. All quantities are a function of time in units of typical Brownian time τB.