Fig. 5: Time-dependent microswimmer navigation.
From: Hydrodynamics can determine the optimal route for microswimmer navigation

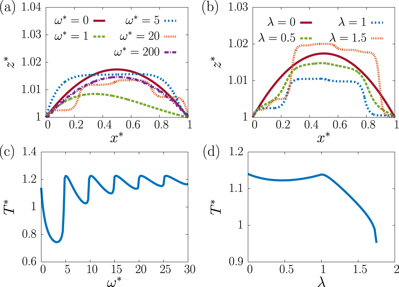
Optimal trajectories and travel times of time-dependent source dipole microswimmers for fixed amplitude λ = 1 and different dimensionless frequencies ω* = ωτ shown in the key (a, c) and for fixed ω* = 6π and different λ (b, d). The shown travel times, T* = T/τ, for the optimal trajectory are always shorter than when choosing the shortest path to the target. Here, lengths and times are made dimensionless by ℓ and τ, respectively.