Fig. 4: Properties of structure functions.
From: Deviations from Taylor’s frozen hypothesis and scaling laws in inhomogeneous jet flows

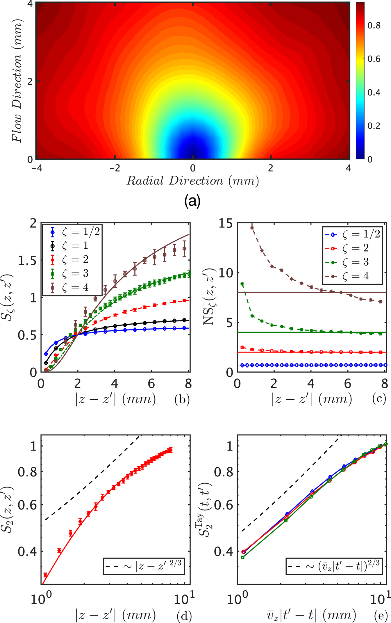
a Contour plot for \({S}_{1}\left({\bf{R}},{{\bf{R}}}^{\prime}\right)\) shows that it is nearly isotropic when \(d=| {{\bf{R}}}^{\prime}-{\bf{R}}|\) is small, but that the growth slows in the flow direction as d increases. Panels b–e show mean values (symbols) and standard deviations (error bars) for variables computed using 6000-frame segments with four distinct origins R on the symmetry axis. b The symbols show \({S}_{1/2}\left({\bf{R}},{{\bf{R}}}^{\prime}\right)\) (blue diamonds), \({S}_{1}\left({\bf{R}},{{\bf{R}}}^{\prime}\right)\) (black circles), \({S}_{2}\left({\bf{R}},{{\bf{R}}}^{\prime}\right)\) (red crosses), \({S}_{3}\left({\bf{R}},{{\bf{R}}}^{\prime}\right)\) (green squares), and \({S}_{4}\left({\bf{R}},{{\bf{R}}}^{\prime}\right)\) (brown stars) in the flow direction. The black line is the best fit of the data S1(z) for a functional form \({S}_{1}(z)={c}_{1}{z}^{{c}_{3}}/(1+{c}_{2}{z}^{{c}_{3}})\) that satisfies the conditions for \(| {\bf{R}}-{{\bf{R}}}^{\prime}| \to 0\) and \(| {\bf{R}}-{{\bf{R}}}^{\prime}| \to \infty\). c Normalized structure functions \({\mathbb{N}}{{\rm{S}}}_{\zeta }(z)\) for ζ = 1/2, 2, 3, and 4, showing the validity of extended self-similarity17,35 for large \(| z-{z}^{\prime}|\). Extended self-similarity suggests that Sζ(z) ≈ 2ζ−1S1(z)ζ. These are the lines shown in b. d \({S}_{2}(z,{z}^{\prime})\) does not show an inertial range where the Kolmogorov \(\frac{2}{3}\)-law holds. e An assessment of the structure function from a single-point time series invoking Taylor’s hypothesis is better approximated by the \(\frac{2}{3}\)-law.