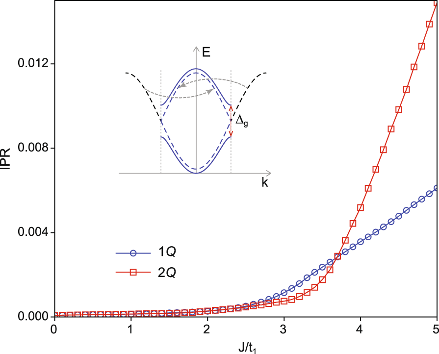
Fig. 4: Inverse participation ratio of CeAuSb2.
From: Spin-texture-driven electrical transport in multi-Q antiferromagnets

Inverse participation ratio (IPR) averaged over all the eigenvalues at 1Q (circles) and 2Q (squares) states. Error bars are smaller than the size of the data points. Inset illustrates the band folding and gap opening at the Brillouin zone boundary in the presence of a commensurate spin texture.