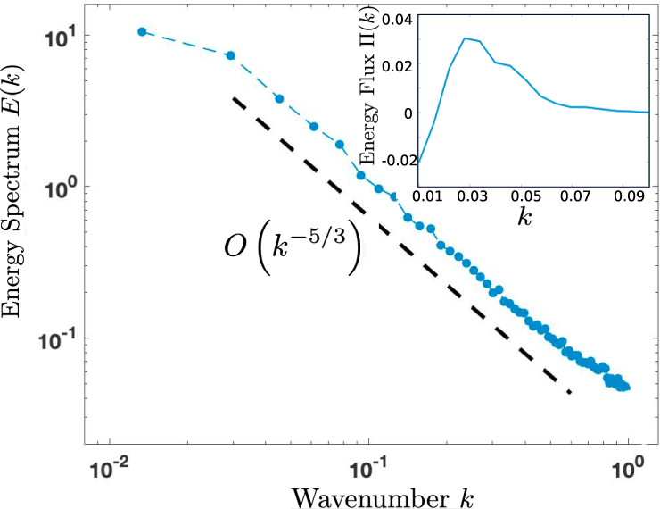
Fig. 5: Energy spectrum E(k).
From: Emergence of lanes and turbulent-like motion in active spinner fluid

The spectrum is computed by Eq. (4) for a flow at the intermediate Reynolds number \({\rm{Re}}=0.1\). The spectrum shows an energy cascade and scaling, k−5/3. Inset: dependence of the energy flux ΠE(k) vs k. Computations performed with L = 300a to increase resolution, L is the integration domain size, a is the particle radius.