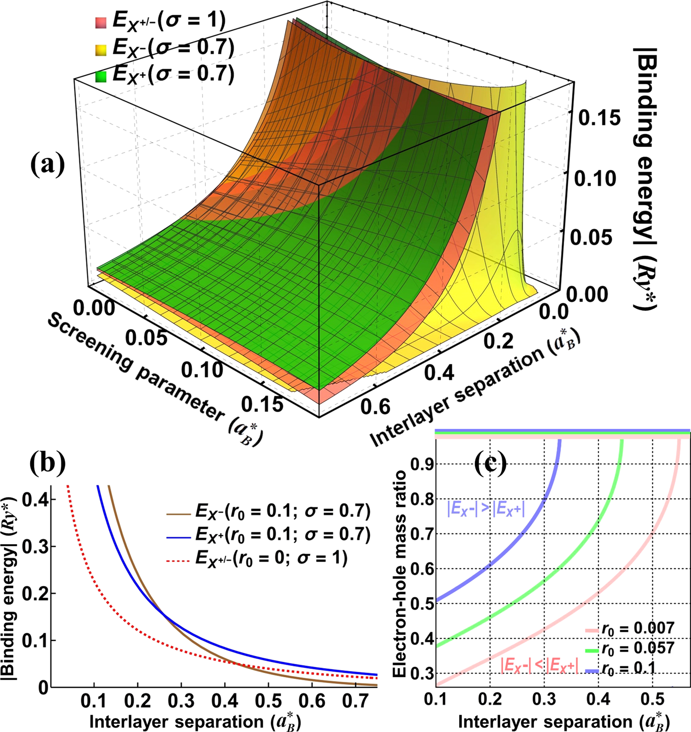
Fig. 2: Charged interlayer exciton binding energy.
From: Crystal phases of charged interlayer excitons in van der Waals heterostructures

a Absolute values of the binding energies \({E}_{{X}^{\pm }}\) of the positive and negative charged interlayer excitons (CIEs) as functions of the interlayer separation d and screening length parameter r0 as given by Eqs. (1), (2) and (4) for σ = 1 and 0.7 (electron-hole effective mass ratio). b Crosscuts of (a) for r0 = 0 and 0.1 (screening length parameter) to show the binding energy splitting for the positive and negative CIEs with unequal electron-hole masses. c Solutions to the equation \(| {E}_{{X}^{+}}(\sigma ,d)| =| {E}_{{X}^{-}}(\sigma ,d)|\) for the three values of the screening length parameter r0.