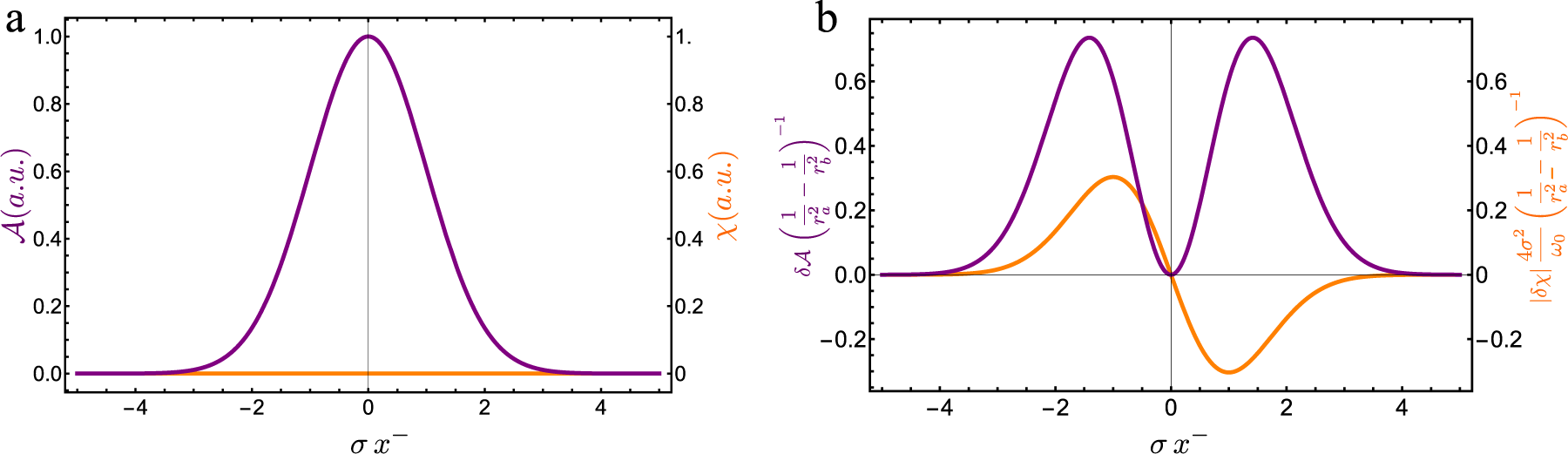
Fig. 3: Propagation of Gaussian wavepacket along radial direction in the Schwarzschild spacetime geometry.

a Amplitude (purple) and phase (orange) of the initial Gaussian beam at the sender (Alice), respectively, presented by \({{{\mathcal{A}}}}(a.u.)\) and χ(a. u. ). Their units, a. u. , are chosen such that both are normalised to their maximum values. b The changes in the amplitude (\(\delta {{{\mathcal{A}}}}\)) and the phase (δχ) of the Gaussian wavepacket around frequency ω0 with width of σ transmitted over the radial null geodesic in the Schwarzschild geometry between ra and r = rb, the geometry is shown in Fig. 2b. The units are chosen where the Schwarzschild radius and light speed are one.