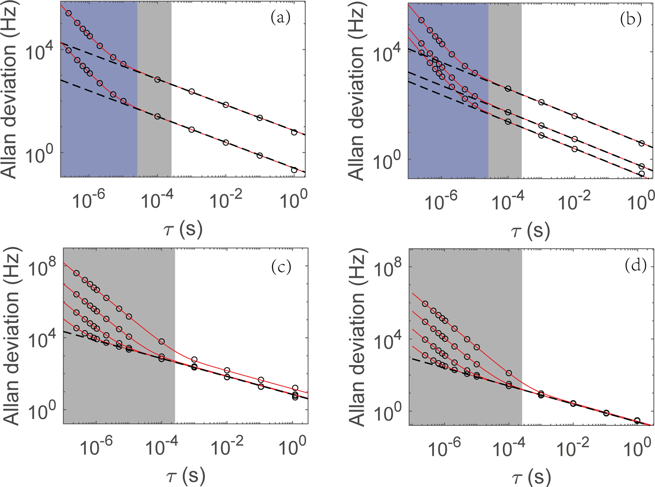
Fig. 3: Frequency Allan deviation and Cramer Rao lower bound for simulated data with added Gaussian detection noise.
From: Fundamental limits and optimal estimation of the resonance frequency of a linear harmonic oscillator

a Undriven (A = 0, top line) and driven cases (A = 40σ, bottom line) with \(\eta = 0.1\) and Δω = 0. Black circles are Allan deviation (ADEV) of the frequency estimated by Eq. (25), red solid lines are the corresponding Cramer Rao lower bound (CRLB), Eq. (16), black dashed lines are noiseless CRLB Eq. (19) with \(\eta = 0\). The blue and gray shades label \(\tau < \frac{\eta }{{{{{{{{\mathrm{{\Gamma}}}}}}}}}}\) and \(\tau < \frac{1}{{{{{{{{\mathrm{{\Gamma}}}}}}}}}}\), respectively. b Driven case (A = 40σ) with detuning \({\Delta}\omega = 0\), Γ, and 10Γ (from bottom to top), and \(\eta = 0.1\). c, d Undriven (A = 0) and driven (A = 40σ) cases, respectively, with varying added noise level \(\eta = 0.01,\,0.1,\,1,\,10\) (from bottom to top) and constant Δω = 0. The one standard deviation uncertainties of the data points obtained from the numerical simulation are smaller than the symbol size.