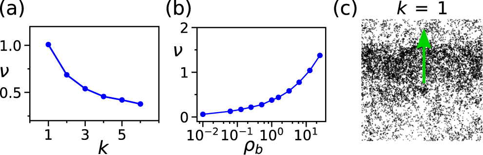
Fig. 8: Observed bands for the k-nearest neighbor interaction (kNN) in homogeneous environments.
From: Topological flocking models in spatially heterogeneous environments

k is the number of neighbors and the density of obstacles is fixed at ρo = 0. a Rewiring ν versus k for a system with Nb = 625 particles (particle density ρb = 1.0), interacting with kNN. b Rewiring ν measured for the system with Nb = 625 at different particle densities ρb by varying box size L (k = 6). c) Snapshot showing band formation for kNN interaction with k = 1. The black dots represent particles, and the green arrow shows the moving direction of the band. Noise intensity is η = 0.55 for all the panels.