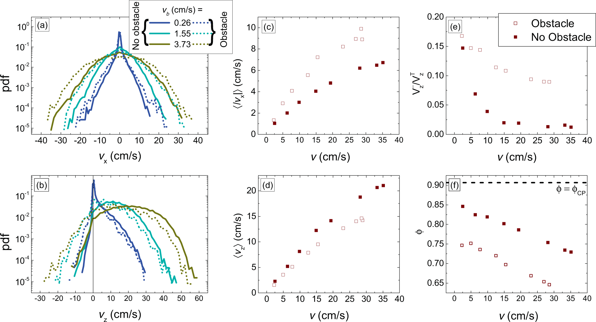
Fig. 3: Dynamic features of the system.
From: On the dual effect of obstacles in preventing silo clogging in 2D

Experimental probability density functions (pdf) of (a) horizontal and (b) vertical velocity components measured in the region indicated with a red box in Fig. 1b for an orifice size of D = 1.53 cm and the belt velocities indicated in the legend. Dashed lines account for the experiments with the obstacle while solid ones make reference to the experiments without it. In c and d the averages of these distributions (using the absolute value in the case of vx) are reported as a function of v, the particles velocities when crossing the outlet. e Proportion of upwards displacements (computed as the number of negative velocities \({V}_{Z}^{-}\) divided by the total number of velocities \({V}_{Z}^{T}\) analyzed in the red box of Fig. 1b) versus the particles velocities when crossing the outlet. f Two-dimensional solid fraction in the area signaled with a red box in Fig. 1b as a function of the particles velocities when crossing the outlet. The dashed line shows \({\phi }_{{{{{{\mathrm{CP}}}}}}}=\pi \sqrt{3}/6\), the maximum value available for ϕ in this system which corresponds to the close packing of circles in 2D. The uncertainties of the mean quantities are smaller than the points size since they come from averaging a large amount of data.