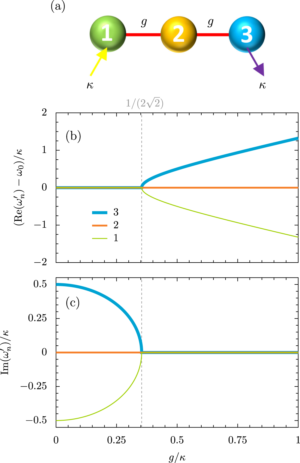
Fig. 1: The \({{{{{{{\mathcal{PT}}}}}}}}\)-symmetric trimer and its eigenfrequencies.

a A cartoon of the three-site chain (colored balls), where each oscillator has the resonance frequency ω0. The left oscillator (green sphere) is subject to gain κ (yellow arrow), while the right oscillator (cyan sphere) suffers an equivalent loss κ (purple arrow), such that the arrangement fulfills \({{{{{{{\mathcal{PT}}}}}}}}\) symmetry. The coupling strength is g. b The real parts of the eigenfrequencies \({\omega }_{n}^{\prime}\), as a function of g [Eq. (11)]. c The imaginary parts. Dashed lines: exceptional points at the transition between the broken and unbroken \({{{{{{{\mathcal{PT}}}}}}}}\)-symmetric phases [Eq. (13)].