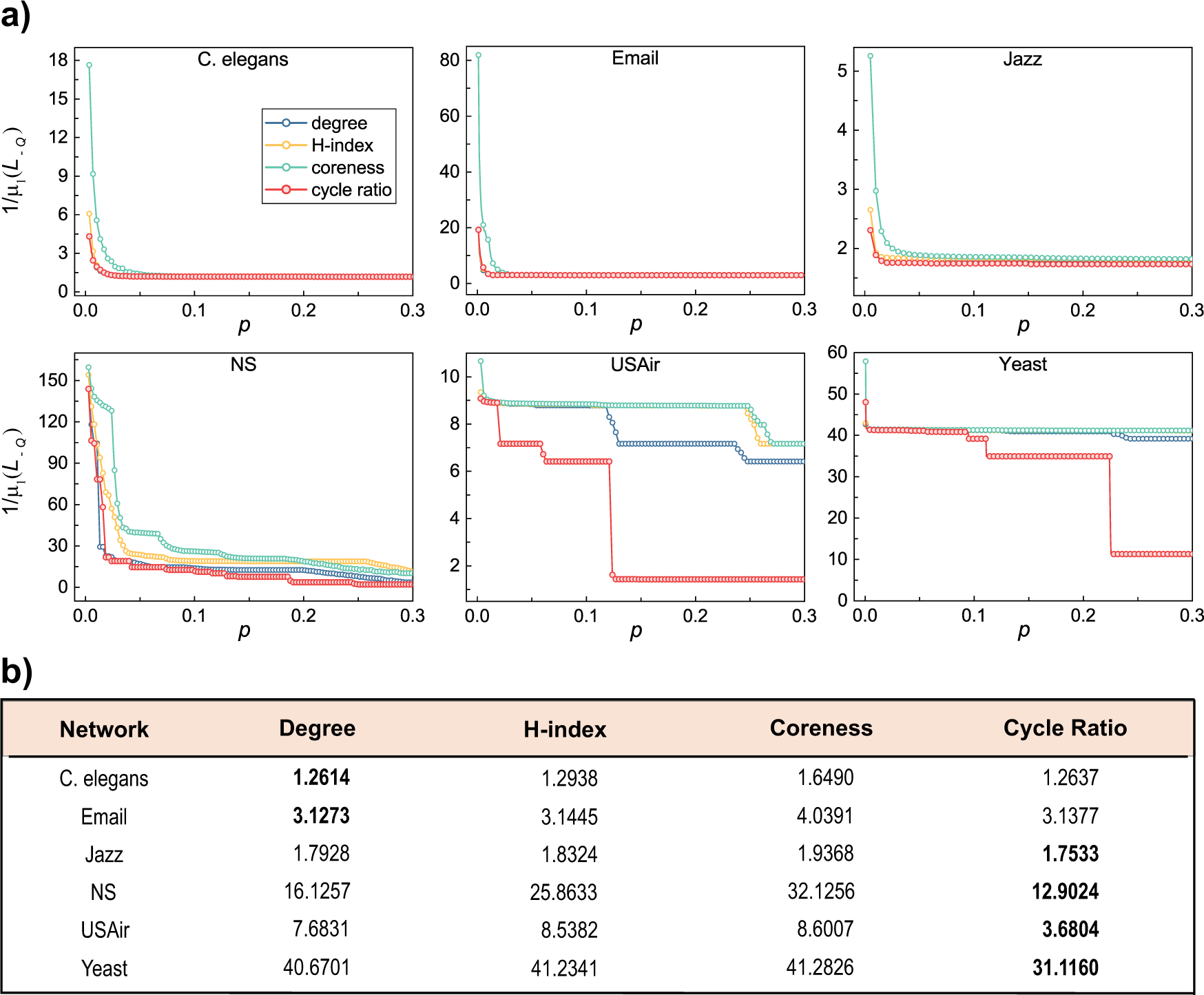
Fig. 5: The performance of the four indices of node importance on pinning control.

a The x-axis denotes the ratio of pinned nodes and the \(y\)-axis shows network synchronizability after pinning the fraction of nodes. For each index, the nodes are pinned one by one in descending order of the index and quantify the synchronizability of the pinned networks each time. b The pinning efficiency \(P\) of the four indices for the six real-world networks. For each network, best performed index with minimum pinning efficiency \(P\) is emphasized in bold.