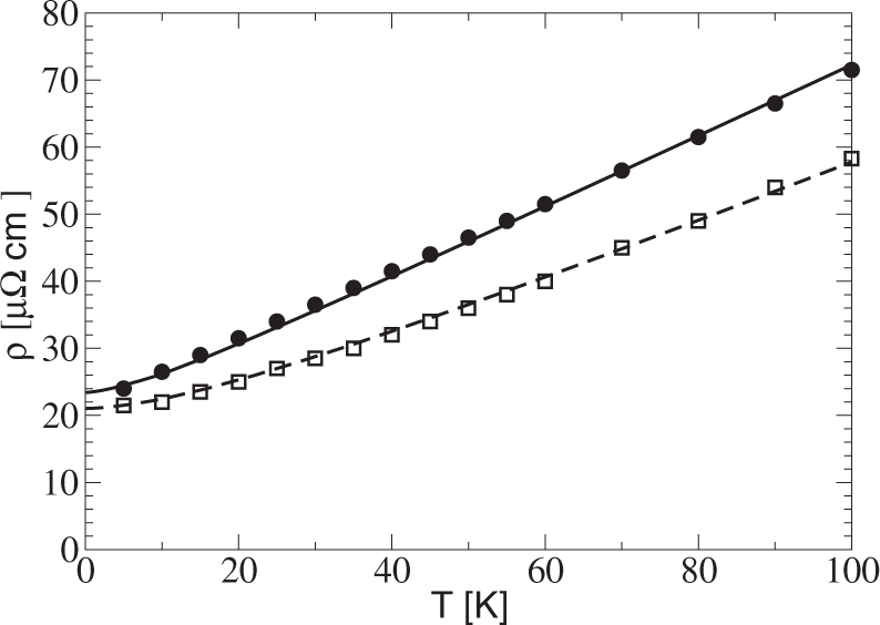
Fig. 2: Linear-in-T resistivity.

Resistivity calculations for a Nd-La2−xSrxCuO4 sample with x = 0.24 (black solid line) and for a Eu-La2−xSrxCuO4 sample with x = 0.24 (black dashed line). The symbols refer to the experimental data extracted from ref. 26 (the error bars of the data are smaller than the symbol size): filled circles for Nd-La2−xSrxCuO4 and empty squares for Eu–La2−xSrxCuO4. For the fitting we used a quasiparticle-charge fluctuations coupling and the elastic scattering rate due to quenched disorder g2 = 0.045 and Γ0 = 13.7 meV for Nd–La2−xSrxCuO4 and g2 = 0.0415 and Γ0 = 12.3 meV for Eu–La2−xSrxCuO4 (see Methods—the Boltzmann equation and calculation of the electron scattering rate).