Fig. 3: Scattering mean free path critical exponent.
From: Observation of a transition to a localized ultrasonic phase in soft matter

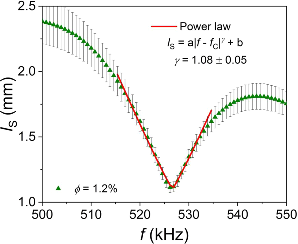
Scattering mean free path lS versus frequency f for an encapsulated microbubble volume fraction ϕ = 1.2% at the 527 kHz mobility edge. Note, the data shown here is the same dataset shown in Fig. 2c. The error bars represent the statistical uncertainty, and are determined through knowledge of the uncertainties in the measured sound level (±3 dB) and the measured doped gel thickness (±0.01 mm). The solid red line is a fit to the power law shown in the graph’s legend with R2 = 0.995, which yields the critical exponent γ = 1.08 ± 0.05.