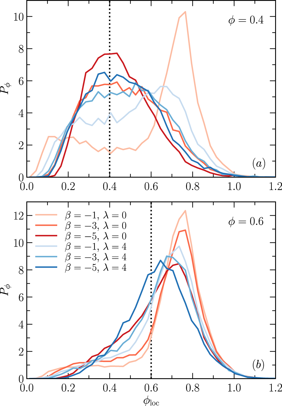
Fig. 3: Local packing fraction.

Probability distribution Pϕ of the local packing fractions ϕloc for the average area packing fraction (a) ϕ = 0.4 and (b) ϕ = 0.6 (vertical dotted lines). The various curves correspond to β = −1, −3, and −5 (bright to dark), and λ = 0 (red) and λ = 4 (blue), respectively.