Fig. 7: Velocity distribution function.

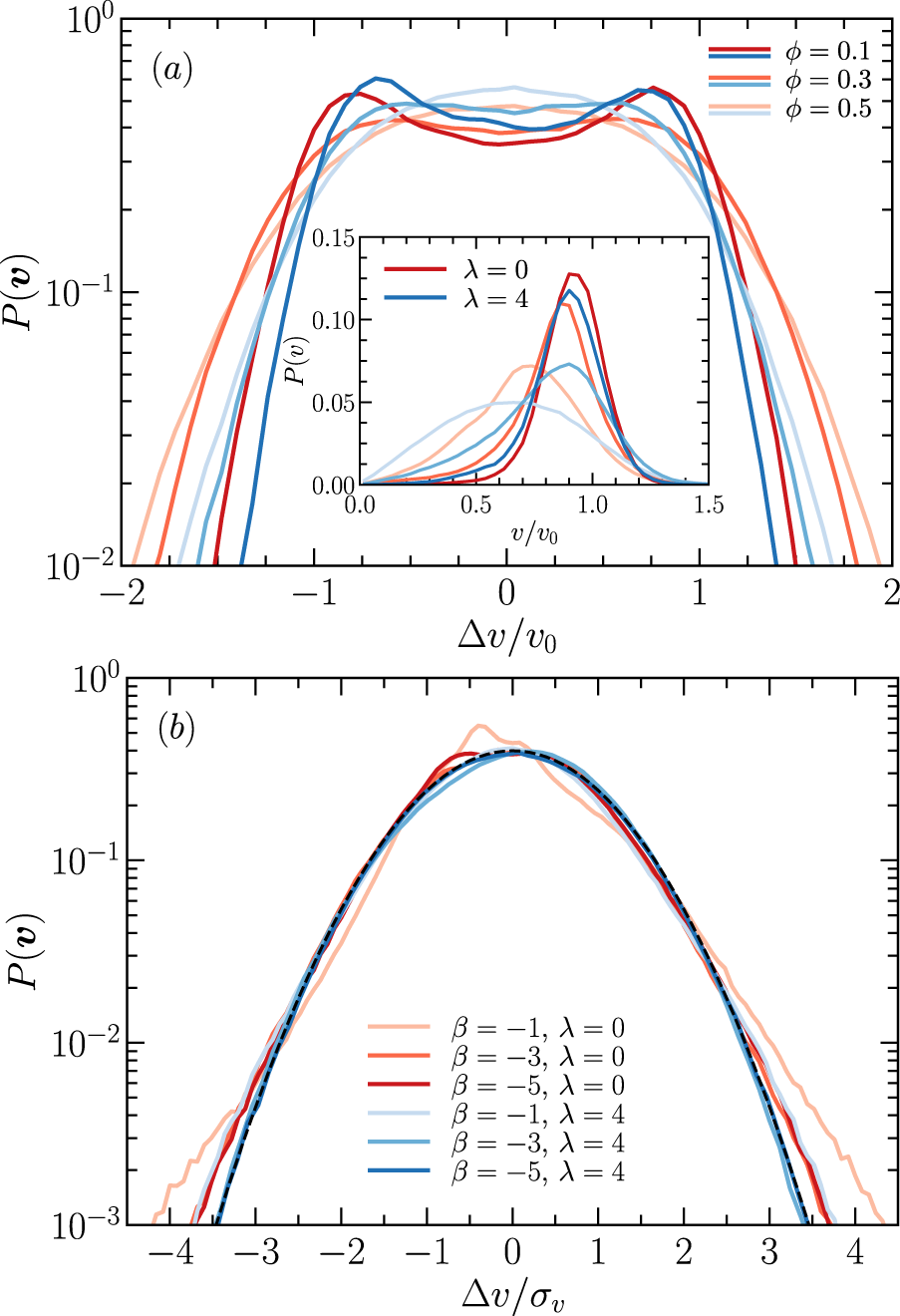
a Distribution function P(v) of the Cartesian in-plane velocity components \({{\Delta }}v={v}_{x/z}-{\bar{v}}_{x/z}\), with respect to the mean velocity \({\bar{v}}_{x/z}\), normalized by the swimming speed v0 for the active stress β = − 5, the indicated packing fractions ϕ, and the rotlet-dipole strengths λ = 0, 4. Inset: distribution function P(v) of the modulus v = ∣v∣ of the velocity for β = − 1. b Distribution function of the Cartesian in-plane velocity components normalized by the standard deviation σv for ϕ = 0.68 and various β and λ. The dashed line is a Gaussian of unit variance.