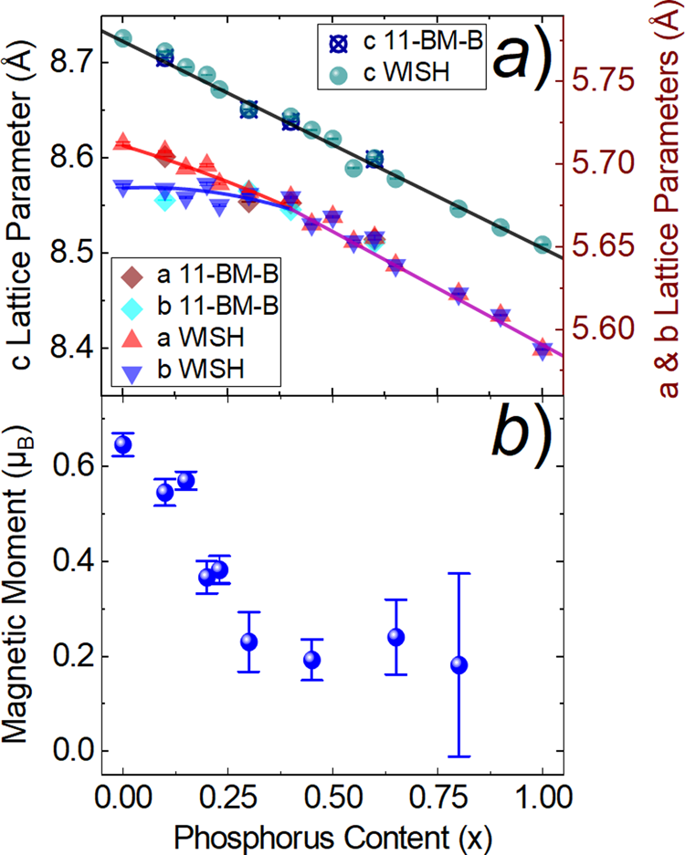
Fig. 3: Refined structural parameters and magnetic moments.
From: Multiple magnetic orders in LaFeAs1-xPxO uncover universality of iron-pnictide superconductors

a Each symbol represents the refined lattice parameter results as defined in the legend for LaFeAs1-xPxO at T = 10 K. End points are in close agreement with lattice parameters reported in42 and43. Solid lines are fits of the lattice parameters as follows: black line is a linear fit of the c-axis demonstrating adherence to Vegard’s Law and a successful continuous substitution of phosphorus for arsenic. Red, blue, and purple lines serve as guides to the eye. b Magnetic moment refined from neutron diffraction as a function of substitution across the phase diagram. The refined error bars on the sample at x = 0.8 are large due to the small magnetic phase fraction in this particular sample. Note that a finite moment persists even when the lattice parameters a and b are equal, signaling the onset of four-fold rotationally symmetric magnetic order. Error bars are smaller than the symbol size for the lattice parameters. For the magnetic moments, error bars are those calculated by the Rietveld refinement programs.