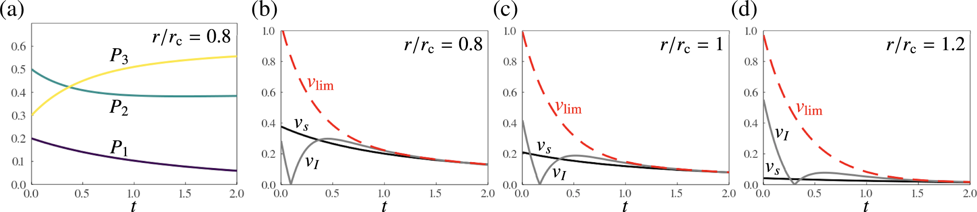
Fig. 2: Speed limit for the evolutionary dynamics with natural selection and mutation.

a Typical dependence on time (t) of the proportion of type i (density of type i divided by the total density), Pi, for r/rc = 0.8. Here, r is the growth rate for type 1 relative to that for type 2 or 3, and rc is the value of r at the transcritical bifurcation point. b–d The speed-limit inequality [Eq. (3)] holds, regardless of the parameters (r/rc) and quantities (growth rate s or diversity I). The speed of the growth rate vs (black solid line) and that of change in diversity vI (gray solid line) are compared with the speed limit \({v}_{\lim }\) (red dashed line) for b r/rc = 0.8, c r/rc = 1, and d r/rc = 1.2. See Supplementary Method 3 for the other parameters used.