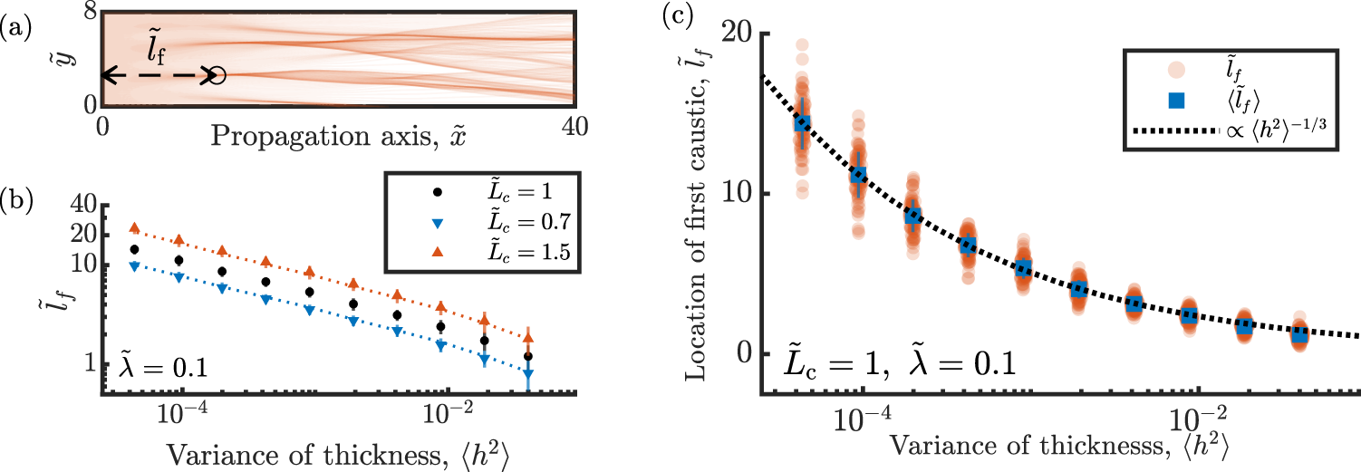
Fig. 3: Location of caustics from ray simulations.
From: Branched flows of flexural waves in non-uniform elastic plates

a Evolution of rays in a plate with \({{\langle }}{h}^{2}{{\rangle }}=4.24\times 1{0}^{-4}\). Individual rays are plotted as translucent curves. Hence, caustics or focusing events, which correspond to overlapping rays appear as regions of higher intensity. The location of focusing is detected numerically (circular marker). b Using the simulation results of \({\widetilde{L}}_{{{{{{\rm{c}}}}}}}=1\) (black dots), and linear scaling with \({\widetilde{L}}_{{{{{{\rm{c}}}}}}}\), predictions are made for the other two cases (dotted lines) on a log-log plot. c The location of first focusing point (orange points obtained from ray simulations. Mean \({{\langle }}{\widetilde{l}}_{{{{{{\rm{f}}}}}}}{{\rangle }}\) of each cluster is indicated by blue markers and a 2-standard-deviation width centred on the mean is indicated by a vertical blue line. The scaling \({{\langle }}{\widetilde{l}}_{{{{{{\rm{f}}}}}}}{{\rangle }} \sim {{\langle }}{h}^{2}{{{\rangle }}}^{-1/3}\), indicated by the black dotted line on a semi-log plot, agrees extremely well with the simulations. All lengths are normalised similar to those in Fig. 2, with reference correlation length = 0.1 m.