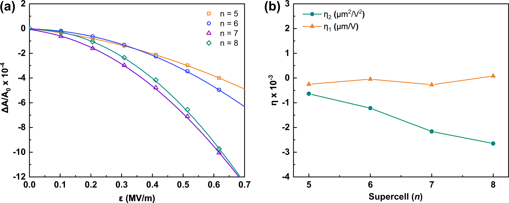
Fig. 4: Electric field dependent hyperfine coupling.

a Electric field response of hyperfine coupling \(\triangle A/{A}_{0}\) as a function of the intensity of external electric field (\(\varepsilon\)) for various supercell sizes (n), where \(\triangle A\) represents the change of hyperfine parameter in the presence of electric field (i.e., \(A\left(\varepsilon \right)-{A}_{0}\)) and \({A}_{0}\) represents the hyperfine parameter without electric field; b quadratic (η2) and linear (η1) coefficients as a function of supercell sizes.