Fig. 5: Monte-Carlo precision measurements in case of input signal amplitude noise.
From: Non-resonant exceptional points as enablers of noise-resilient sensors

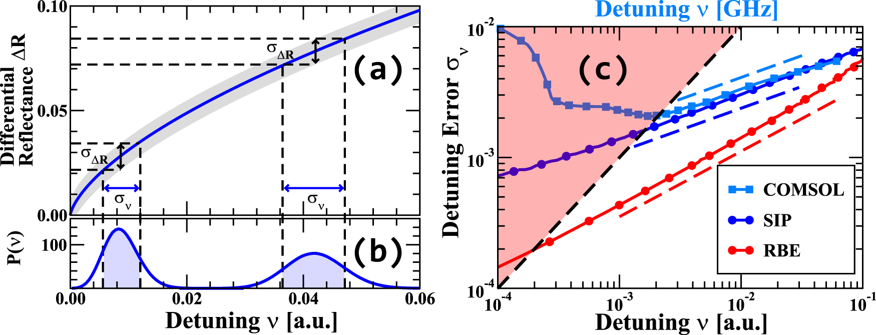
a The differential reflectance \(\varDelta R\) as a function of the detuning \(\nu\). Height of the gray domain represents the evaluated standard deviation \({\sigma }_{\varDelta R}\) in the measured differential reflectance for each value \(\nu\) of the frequency detuning. b Probability density of the detuning measurements \({{{{{\mathscr{P}}}}}}(\nu )\) under the influence of input signal noise for two distant values of \(\nu\). The blue double-sided arrows indicate the corresponding standard deviations for the extracted \(\nu\). c Calculated detuning error \({\sigma }_{\nu }\) as a function of the frequency detuning \(\nu\) from the \({\omega }_{{SP}}\) in case of a stationary-inflection-point-based sensor (blue line with circles), in case of a regular-band-edge-based sensor (red line with circles), and in the case of the COMSOL simulated stationary-inflection-point-based sensor shown in Fig. 1e (light-blue line with squares). The dashed blue and light-blue lines indicate a scaling \({\left|\nu \right|}^{1/3}\), while red dashed line indicates a scaling \({\left|\nu \right|}^{1/2}\). The variance of the input signal noise in the Coupled Mode Theory Monte-Carlo simulations is \({\sigma }_{+}^{2}={10}^{-5}\), while for the COMSOL simulations \({\sigma }_{+}^{2}={5\times 10}^{-4}\).