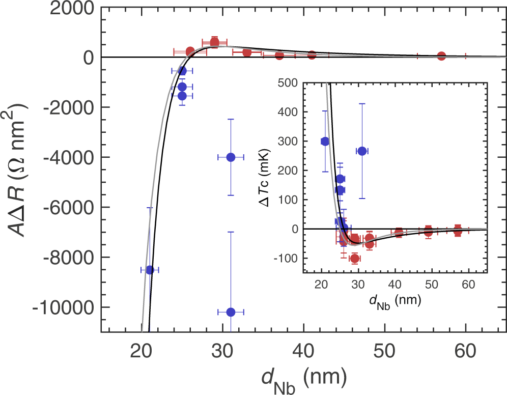
Fig. 4: Thickness (dNb) dependent crossover of superconducting state behaviour.

AΔR (device area A, magnetoresistance ΔR) at T/Tdevice = 0.3 vs. Nb thickness dNb, where T is temperature and Tdevice is the onset temperature of the device transition. The inset is the difference between superconducting critical temperatures in the parallel and antiparallel states, ΔTc, vs. dNb. Red points show quasiparticle giant magnetoresistance dominated behaviour, blue the superconducting spin valve effect dominated behavior. Points represent individual spin-valve devices. Vertical error bars are the measurement uncertainty in AΔR for each device and horizontal error bars the uncertainty in dNb. Curves are fits as described in the Phenomenological model section; grey curves fit with all parameters free, black with more limited parameters. The crossover point is dNb = 26 nm.