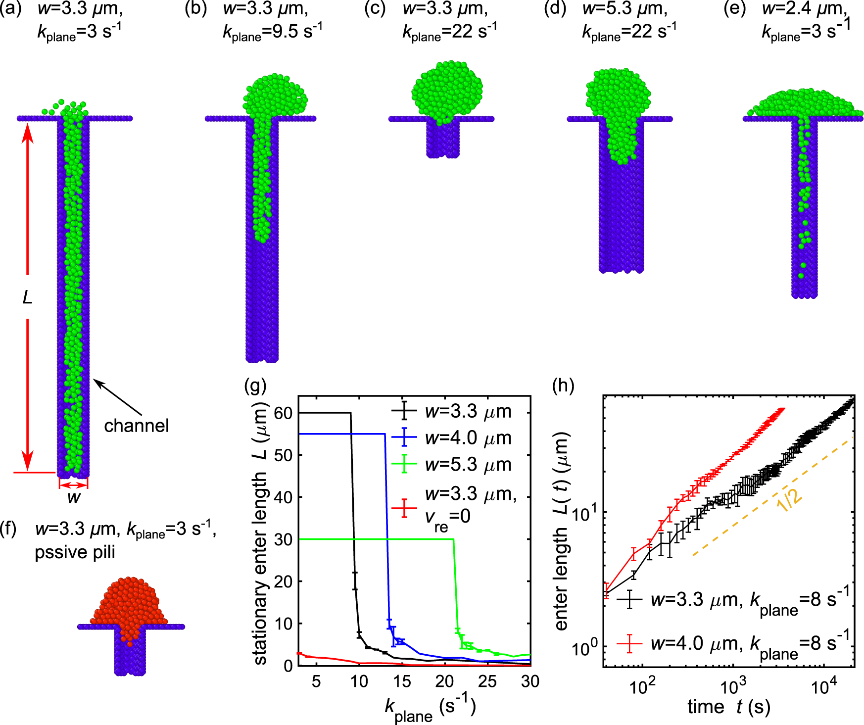
Fig. 7: Colonies atop surfaces containing channels.

a–c Simulated wild-type colonies that are initially positioned on top of a narrow channel can invade the channel by making use of pilus activity if the pilus–substrate bonds are strong. The length that a colony enters a channel is denoted by L. d Colonies more easily invade a wider channel. e Invasion of very narrow channels is possible, but colonies break up in this geometry f Passive colonies are not seen to invade channels fully in simulations. g Stationary lengths of colonies after entering channels of different widths. Depending on the channel width, full entrance of the colony occurs below a critical value of kplane. h The time evolution of the enter length is described approximately by a power law. Error bars represent standard deviations from three simulation samples.