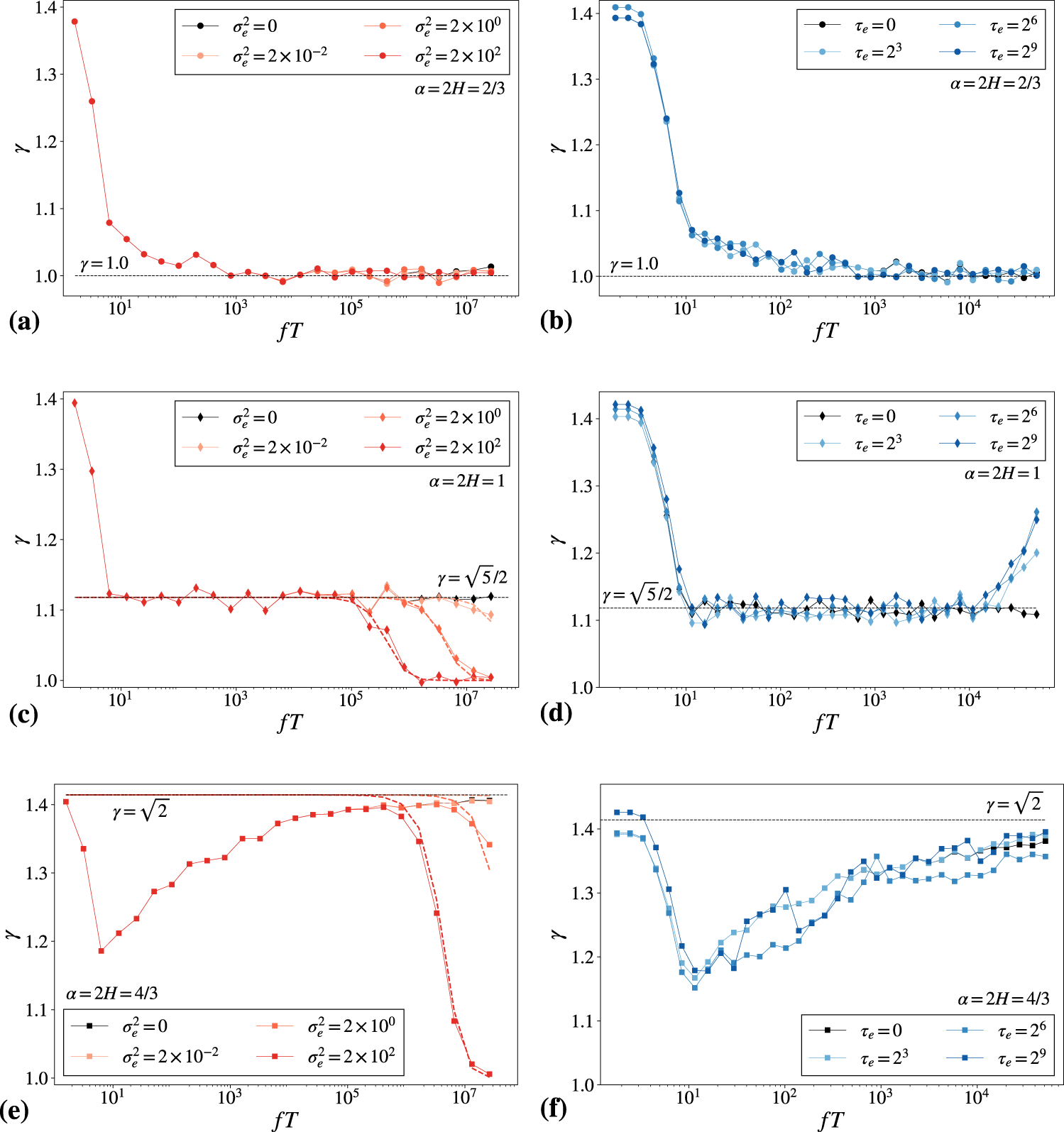
Fig. 1: One-dimensional fractional Brownian motion (FBM) trajectories.

We show the coefficient of variation from Monte Carlo simulations of one-dimensional FBM trajectories in the presence of localisation noise. We set the generalised diffusion coefficient to D = 1 and the Hurst exponent to a and b H = 1/3 (subdiffusion), c and d H = 1/2(normal diffusion) and e and f H = 2/3 (superdiffusion). Panels a, c, and e: n = 104 realisations consisting of N = 223 discrete time steps with Δt = 1 from the joint process defined in Eq. (6), for static error only. The dashed lines represent the expected high-frequency asymptotic trend reported in Eqs. (11a)–(11c) for the different values of σe and τ0 = 1. Panels b, d, and f: n = 104 realisations consisting of N = 214 final steps with Δt = 1 obtained for pure FBM (black) and in the presence of dynamic error with τe. The horizontal dashed lines represent the limiting value at high frequencies for pure FBM. Note that γ is reported as a function of fT, thus the limiting values obtained here for high-frequencies are also valid for the case of fixed f and large T.