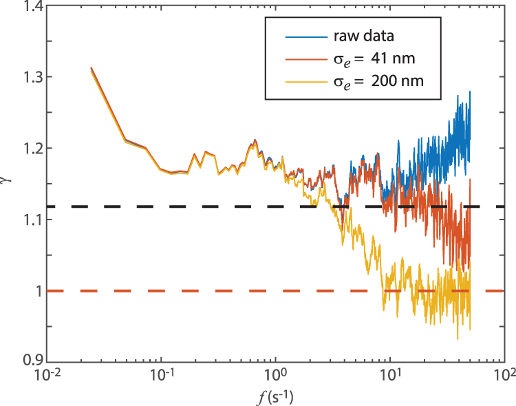
Fig. 4: Coefficient of variation obtained from diffusive data of beads in water.

The baseline is marked in blue. Static localisation errors are artificially added to the data to obtain the other two curves. The red and black dashed lines indicate γ = 1 and \(\sqrt{5}/2\), respectively, which are the values to which γ converges in the case of subdiffusion and normal diffusion when no error is present.