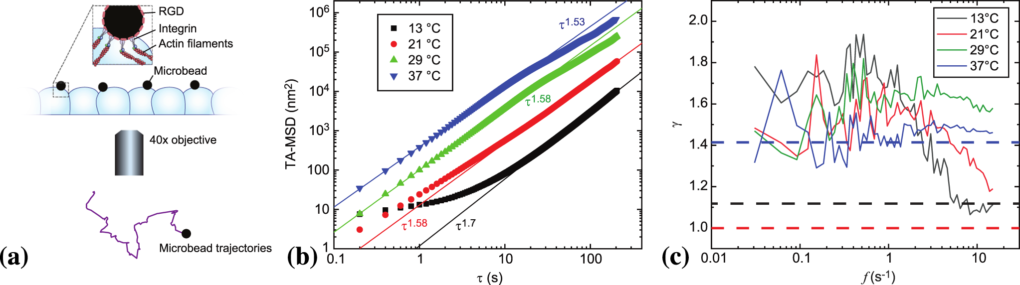
Fig. 5: Cytoskeleton fluctuations of living cells exhibit superdiffusive behaviour.

a Sketch of the experimental system for microbeads attached to the surface of epithelial cells (see the “Experiments" subsection in the “Methods” section for more details) together with a representative experimental trajectory. b MSD at varying temperatures. The straight lines show that the dynamics are superdiffusive with 2H between 1.5 and 1.7, depending on temperature. c Coefficient of variation of the power spectrum of the motion of the surface-bound microbeads. The dashed lines indicate γ = 1, \(\sqrt{5}/2\), and \(\sqrt{2}\), the predicted limiting values of γ for the different diffusion regimes, in the absence of any noise.