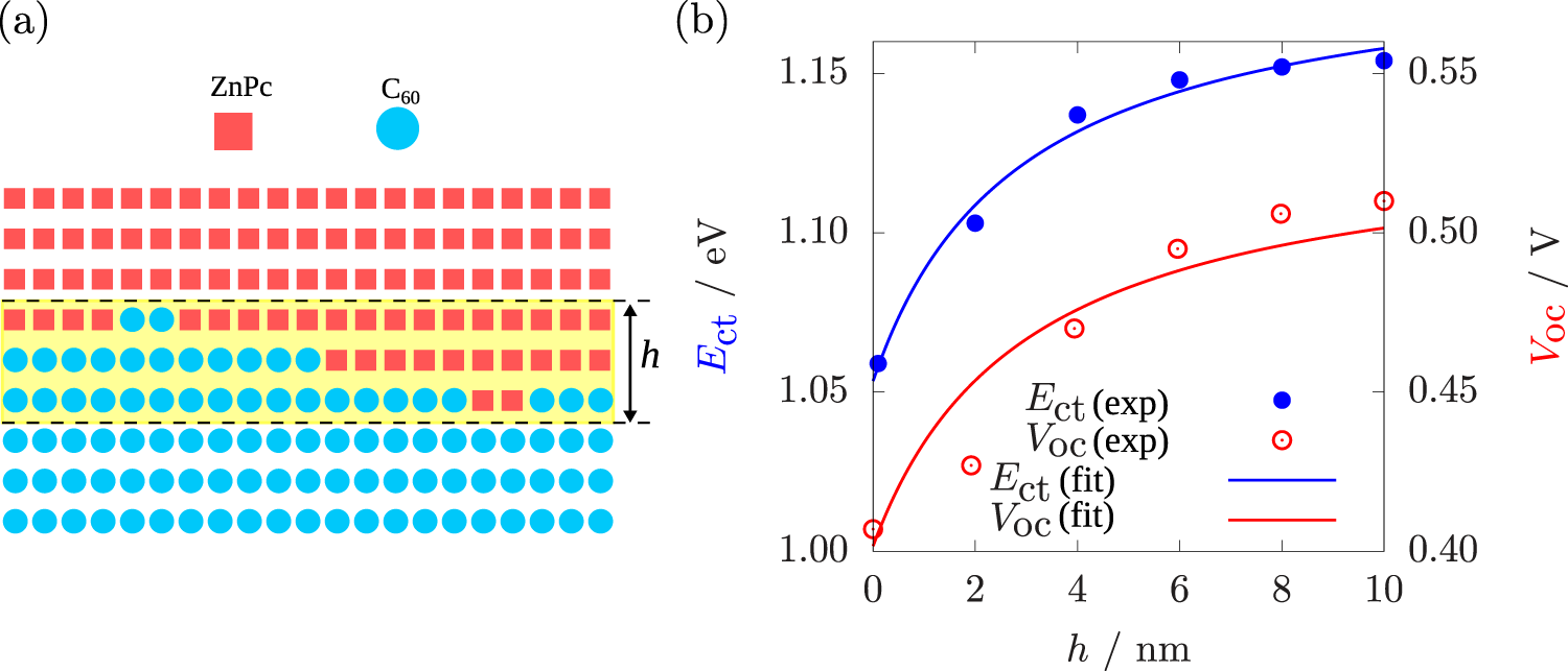
Fig. 5: Charge-transfer state energy and open-circuit voltage dependence on interfacial roughness.
From: Open-circuit voltage of organic solar cells: interfacial roughness makes the difference

a Co-deposited layer of ZnPc:C60 sandwiched between pristine ZnPc and C60 layers. b Variation of the charge-transfer (CT) energy (Ect, blue curve and filled symbols) and open-circuit voltage (Voc, red curve and open symbols) with interface roughness, represented here by the interlayer thickness h. Dots are measurements performed on planar heterojunction cells with a ZnPc/ZnPc:C60/C60 architecture. Solid lines are fits to Eqs. (6) and (3), with fit parameters Ect,0 = 0.92 eV, χ0 = 0.27 eV, δ = 1.43 nm and h0 = 1.43 nm and the Ect − eVoc offset \(\alpha {k}_{{{{{{{{\rm{B}}}}}}}}}T\ln ({n}_{0}{p}_{0})=-0.66\,{{{{{{{\rm{eV}}}}}}}}\). These fitted parameters are in very good agreement with the values predicted by simulations, as well as the interface roughnesses extracted from the composition-dependent measurements in Fig. 4.