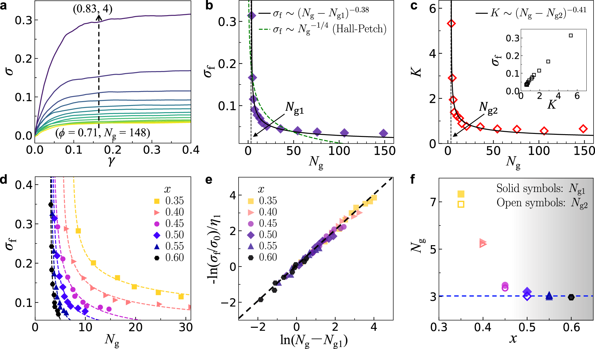
Fig. 3: Mechanical properties.
From: A regime beyond the Hall–Petch and inverse-Hall–Petch regimes in ultrafine-grained solids

a Stress–strain curves for glass-crystal composites (GCCs) with 50% soft particles at different packing fraction ϕ, corresponding to different grain size Ng. b The flow stress σf averaged over the strain range 0.3 < γ < 0.4 in (a). Black curve: the fitting of Eq. (2) with Ng1 = 3.24 ± 0.17 (vertical dashed line) and η1 = 0.63 ± 0.09. The Hall–Petch relation (green-dashed curve) cannot well fit the data. c The shear modulus K measured from the slope of σ(γ) in the elastic regime of γ < 0.025 in (a). Black curve: the fitting of Eq. (3) with Ng2 = 3.07 ± 0.27 and η2 = 0.72 ± 0.14. Inset: σf(K). d σf fitted by Eq. (2) (dashed curves) at different x. e Rescaling of (d) collapses all the data on a straight line. f The fitted minimum grain sizes from σf(Ng) (solid symbols) and K(Ng) (open symbols) at different x.