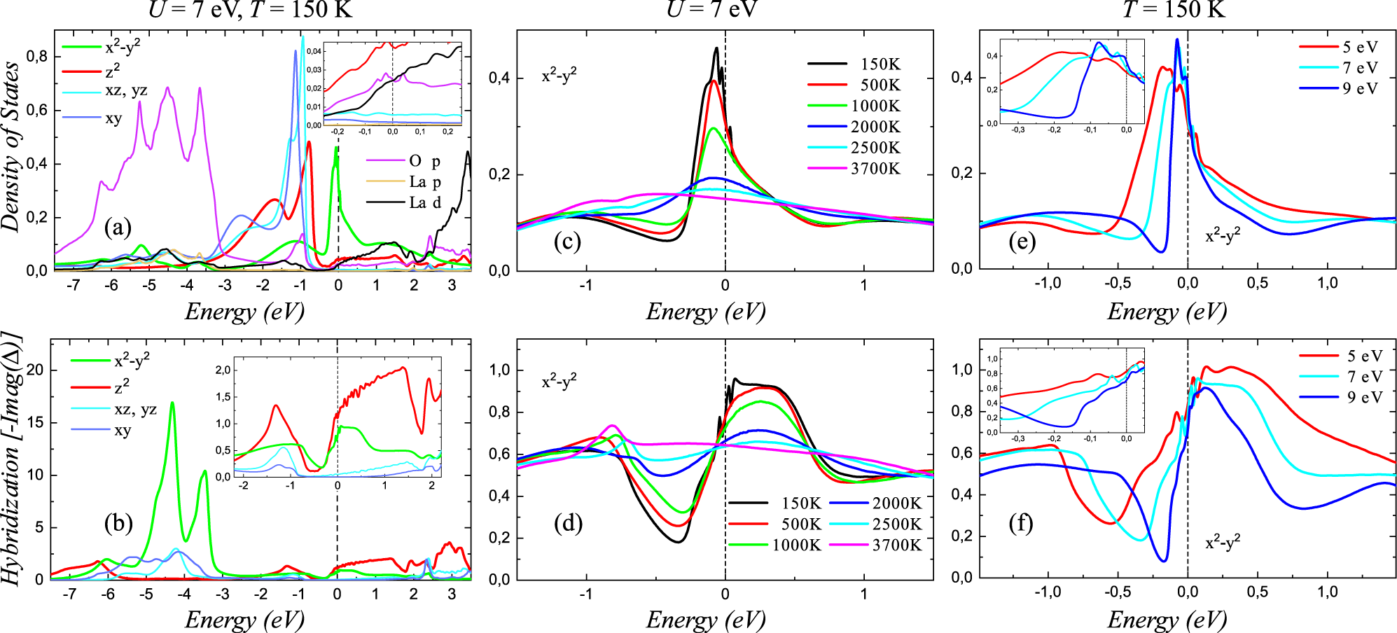
Fig. 3: Density of states (DOS) and hybridization for LaNiO2.
From: Correlation-temperature phase diagram of prototypical infinite layer rare earth nickelates

a shows the projected DOS for all the Ni-d orbitals, as well as the O-p, La-p and La-d orbitals. b shows the hybridization corresponding to the Ni-d orbitals. c, d show the temperature (T) dependence of the Ni-\({d}_{{x}^{2}-{y}^{2}}\) projected DOS and the corresponding hybridization, while e, f show the correlation (U) dependence of the same Ni-d projected DOS and the corresponding hybridization. The insets focus on the energy region around the Fermi level, which is marked by the zero on the energy axis.